Open Access

Fig. 3.

image

Download original image

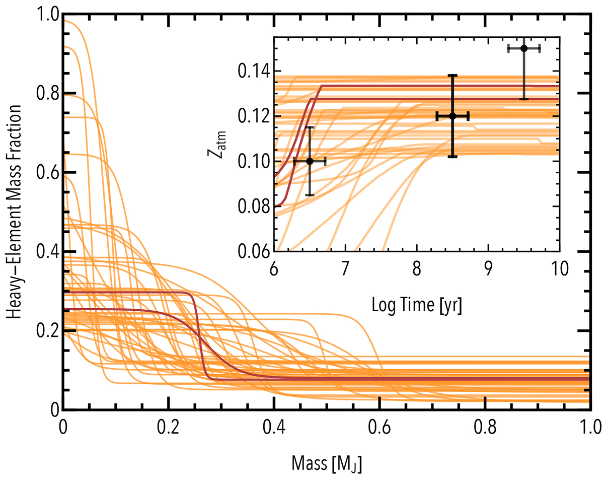
Primordial heavy-element mass fraction vs. mass. The panel in the top right corner shows the atmospheric metallicity vs. time for these curves, created with the analytic model from KH24 (for details, see Appendix G). The orange curves are consistent with Zatm = 0.12 ± 0.02 at (3.2 ± 1.6)  ×  108 yr (bold mock data point). The red curves are in addition consistent with with Zatm = 0.1 ± 0.02 at (3.2 ± 1.6)  ×  106 yr and Zatm = 0.15 ± 0.02 at (3.2 ± 1.6)  ×  109 yr (thin mock data points).

Current usage metrics show cumulative count of Article Views (full-text article views including HTML views, PDF and ePub downloads, according to the available data) and Abstracts Views on Vision4Press platform.

Data correspond to usage on the plateform after 2015. The current usage metrics is available 48-96 hours after online publication and is updated daily on week days.

Initial download of the metrics may take a while.