Open Access

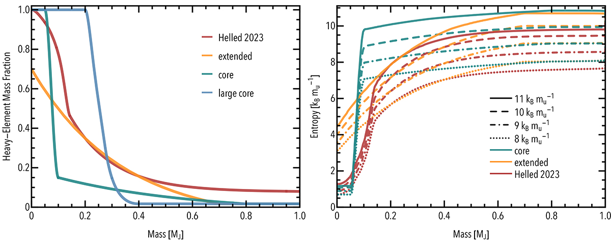
Fig. C.1.

image

Download original image

Left: Initial metallicity profiles of the four models investigated in this study. Right: Entropy profiles of models Helled 2023, extended, and core investigated in this study. The entropy labels in the legend indicate the specific (homogeneous) entropy of the proto-solar composition prior to relaxing the composition gradient.

Current usage metrics show cumulative count of Article Views (full-text article views including HTML views, PDF and ePub downloads, according to the available data) and Abstracts Views on Vision4Press platform.

Data correspond to usage on the plateform after 2015. The current usage metrics is available 48-96 hours after online publication and is updated daily on week days.

Initial download of the metrics may take a while.