Open Access

Fig. 4

image

Download original image

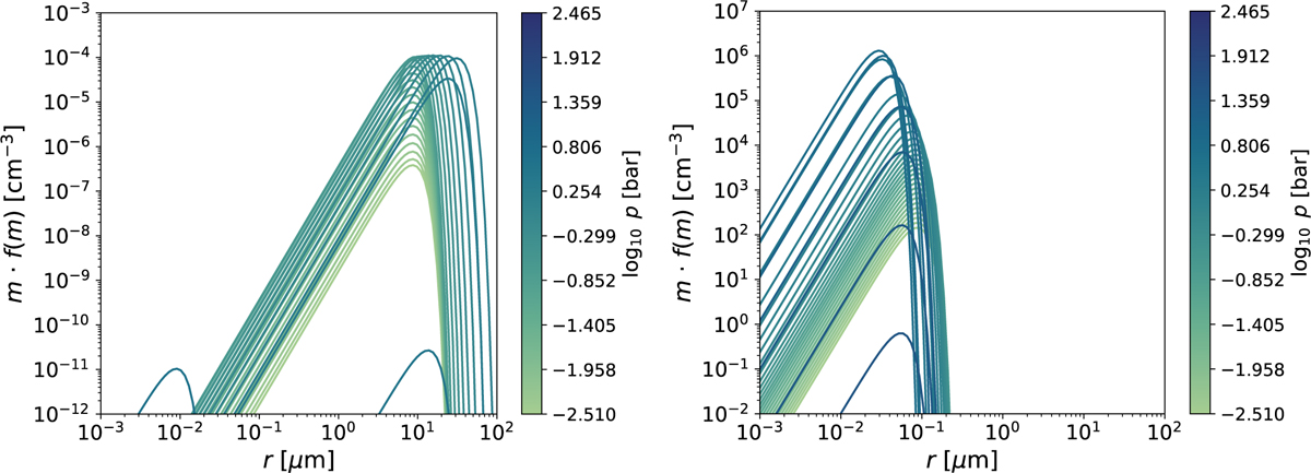
Reconstructed exponential particle size distributions (Eq. (1)) from the Y-dwarf KCl case moment results (Left: log g = 3.25, Right: log g = 4.25) in Section 6 when the exponential distribution is assumed. The colour bar shows the atmospheric pressure of the distribution. This shows the limitations of the exponential distribution as limited flexibility is present due to the assumed variance, resulting in a highly similar distribution shape across the cloud layer.

Current usage metrics show cumulative count of Article Views (full-text article views including HTML views, PDF and ePub downloads, according to the available data) and Abstracts Views on Vision4Press platform.

Data correspond to usage on the plateform after 2015. The current usage metrics is available 48-96 hours after online publication and is updated daily on week days.

Initial download of the metrics may take a while.