Open Access

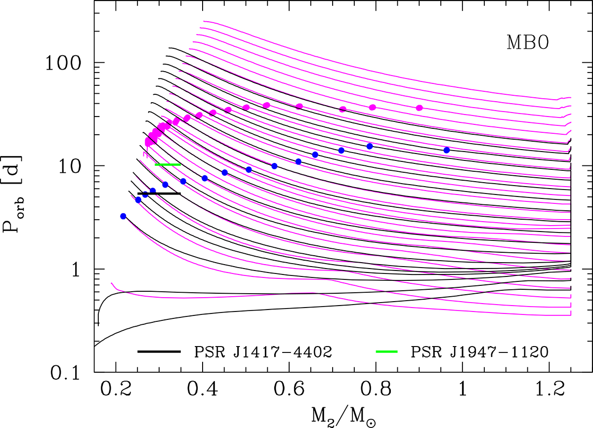
Fig. 1.

image

Download original image

The orbital period as a function of the donor mass for a suite of systems formed by a donor star of 1.25 M, a NS of 1.3 M with Porb, i logarithmically evenly spaced with steps of 20%. The orbital evolution was computed from the ZAMS. Black (magenta) lines denote results corresponding to solar metallicity (Z = 10−3). The detached stages, in which Huntsman pulsars are expected, are denoted in blue for solar metallicity and in pink for Z = 10−3. Horizontal bars correspond to the measurements of the system PSR J1947-1120 (green) and PSR J1417-4402 (black). MB0 denotes the standard magnetic braking prescription.

Current usage metrics show cumulative count of Article Views (full-text article views including HTML views, PDF and ePub downloads, according to the available data) and Abstracts Views on Vision4Press platform.

Data correspond to usage on the plateform after 2015. The current usage metrics is available 48-96 hours after online publication and is updated daily on week days.

Initial download of the metrics may take a while.