Open Access

Fig. 7

image

Download original image

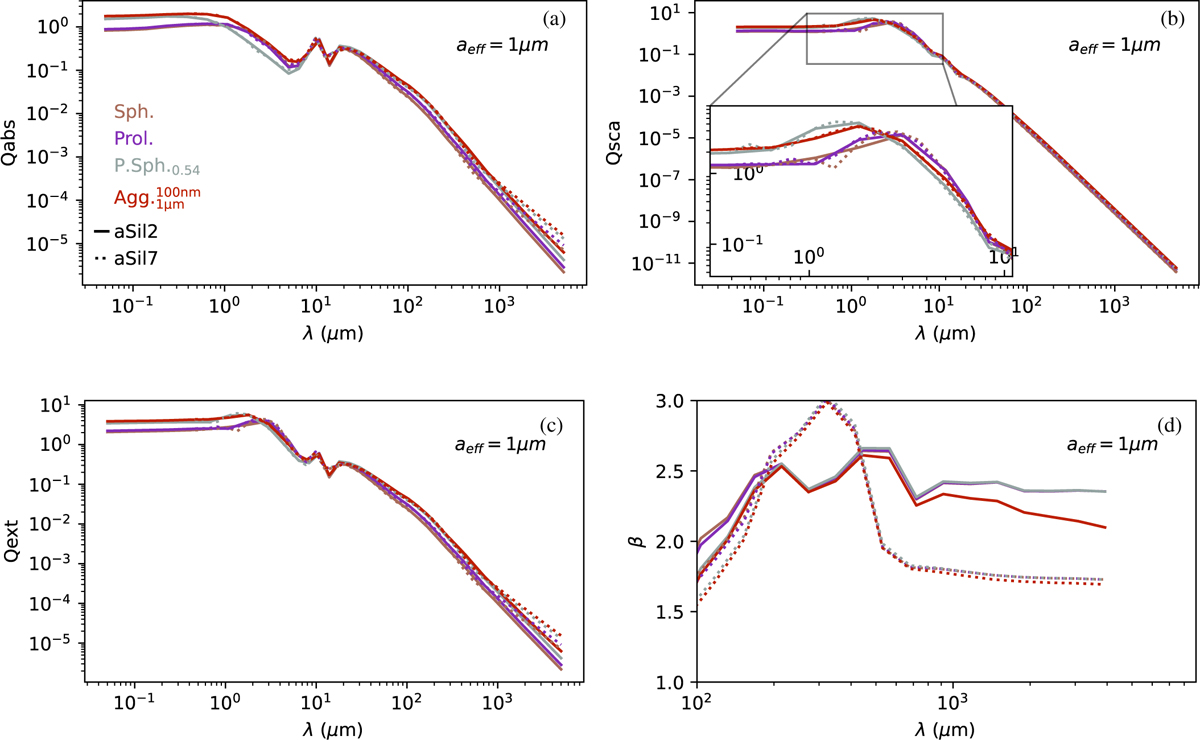
Absorption (a), scattering (b), extinction (c) efficiencies, and emissivity index (d) for four grain structures. The solid lines show the case in which the silicate component is represented by the a-Sil2 material described by Ysard et al. (2024) and the dotted lines the case of the a-Sil7 material. All grains have an effective radius of 1 μm for their refractive part. The emissivity index was computed as the slope of the extinction efficiency, and is zoomed in the sub-mm and millimetre.

Current usage metrics show cumulative count of Article Views (full-text article views including HTML views, PDF and ePub downloads, according to the available data) and Abstracts Views on Vision4Press platform.

Data correspond to usage on the plateform after 2015. The current usage metrics is available 48-96 hours after online publication and is updated daily on week days.

Initial download of the metrics may take a while.