Open Access

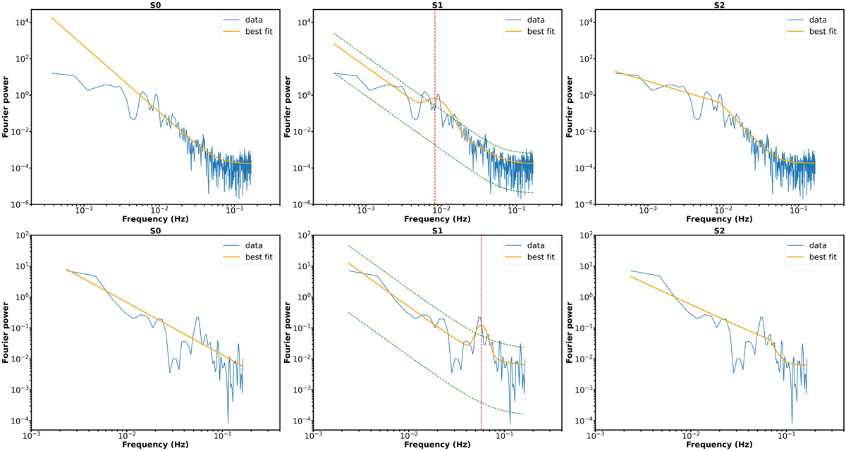
Fig. 3.

image

Download original image

Examples of AFINO results applied to the integrated light curves of the two EUV brightenings shown in Fig. 2. The top and bottom panels correspond to the brightenings in Fig. 2. The blue line represents the Fourier power of the light curve, while the orange line indicates the best fit for each model: S0 (left), S1 (centre), and S2 (right). The vertical dashed red line in Model S1 marks the Gaussian centre corresponding to the dominant period of about 121.17 s (top) and 17.43 s (bottom), and the dashed green lines represent the 95% confidence interval. For the event in the top panel, the BIC differences are ΔBICS0 − S1 = 16.6 and ΔBICS2 − S1 = −36.8. Model S2 provides the best fit to the Fourier power, leading to its classification as a non-QPP event. In contrast, for the event in the bottom panel, Model S2 is the most credible (ΔBICS0 − S1 = 11.3 and ΔBICS2 − S1 = 10.1). Since the probability for Model S1 is 0.64, which exceeds the threshold of 0.01, this EUV brightening is classified as a QPP event.

Current usage metrics show cumulative count of Article Views (full-text article views including HTML views, PDF and ePub downloads, according to the available data) and Abstracts Views on Vision4Press platform.

Data correspond to usage on the plateform after 2015. The current usage metrics is available 48-96 hours after online publication and is updated daily on week days.

Initial download of the metrics may take a while.