Open Access

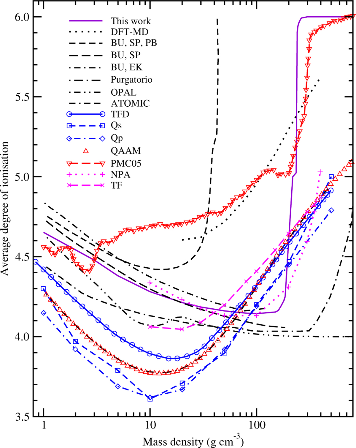
Fig. 5

image

Download original image

Comparison of the average degree of ionisation of carbon plasmas as a function of mass density at a plasma temperature of 100 eV, predicted by various theoretical methods. Shown are results from DFTMD simulation (black dotted line) (Bethkenhagen et al. 2020); BU calculations (Röpke et al. 2019) incorporating two different IPD models – SP (long black-dashed line) and EK (dotted, short-dashed black line) – and including the PB effects (short-dashed black line); PURGATORIO (dotted, long-dashed black line) (Sterne et al. 2007); OPAL (dot-dot-dashed black line) (Rogers et al. 1996); ATOMIC (dot-dashed-dashed black line) (Hakel et al. 2006); TF and TFD models (Clerouin et al. 2022); Qp and Qs ionisation (Clerouin et al. 2022); QAAM (Faussurier et al. 2021); PMC05 calculation at a temperature of 106 K (Potekhin et al. 2005); and the NPA model (Dharma-wardana 2021).

Current usage metrics show cumulative count of Article Views (full-text article views including HTML views, PDF and ePub downloads, according to the available data) and Abstracts Views on Vision4Press platform.

Data correspond to usage on the plateform after 2015. The current usage metrics is available 48-96 hours after online publication and is updated daily on week days.

Initial download of the metrics may take a while.