Open Access

Fig. 5

image

Download original image

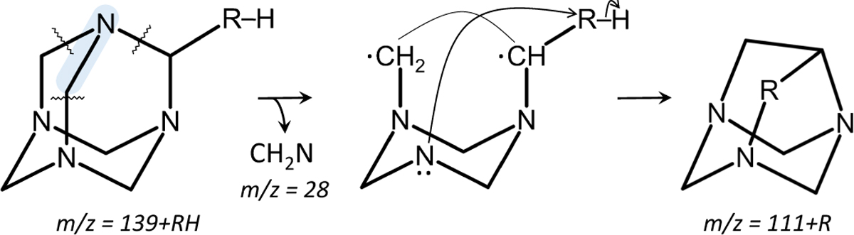
m/z = 111+R fragment in the mass spectra of HMT-R-H derivatives suggests a fragmentation mechanism involving the loss of one of the CH2N groups (highlighted in blue) upon ionisation in the filament of the QMS adjacent to the CH-R-H group (where R-H represents the characteristic side group of each HMT derivative, e.g. CH3, NH2, OH, and CHO), giving rise to fragments with a mass of 111 + R g/mol.

Current usage metrics show cumulative count of Article Views (full-text article views including HTML views, PDF and ePub downloads, according to the available data) and Abstracts Views on Vision4Press platform.

Data correspond to usage on the plateform after 2015. The current usage metrics is available 48-96 hours after online publication and is updated daily on week days.

Initial download of the metrics may take a while.