Open Access

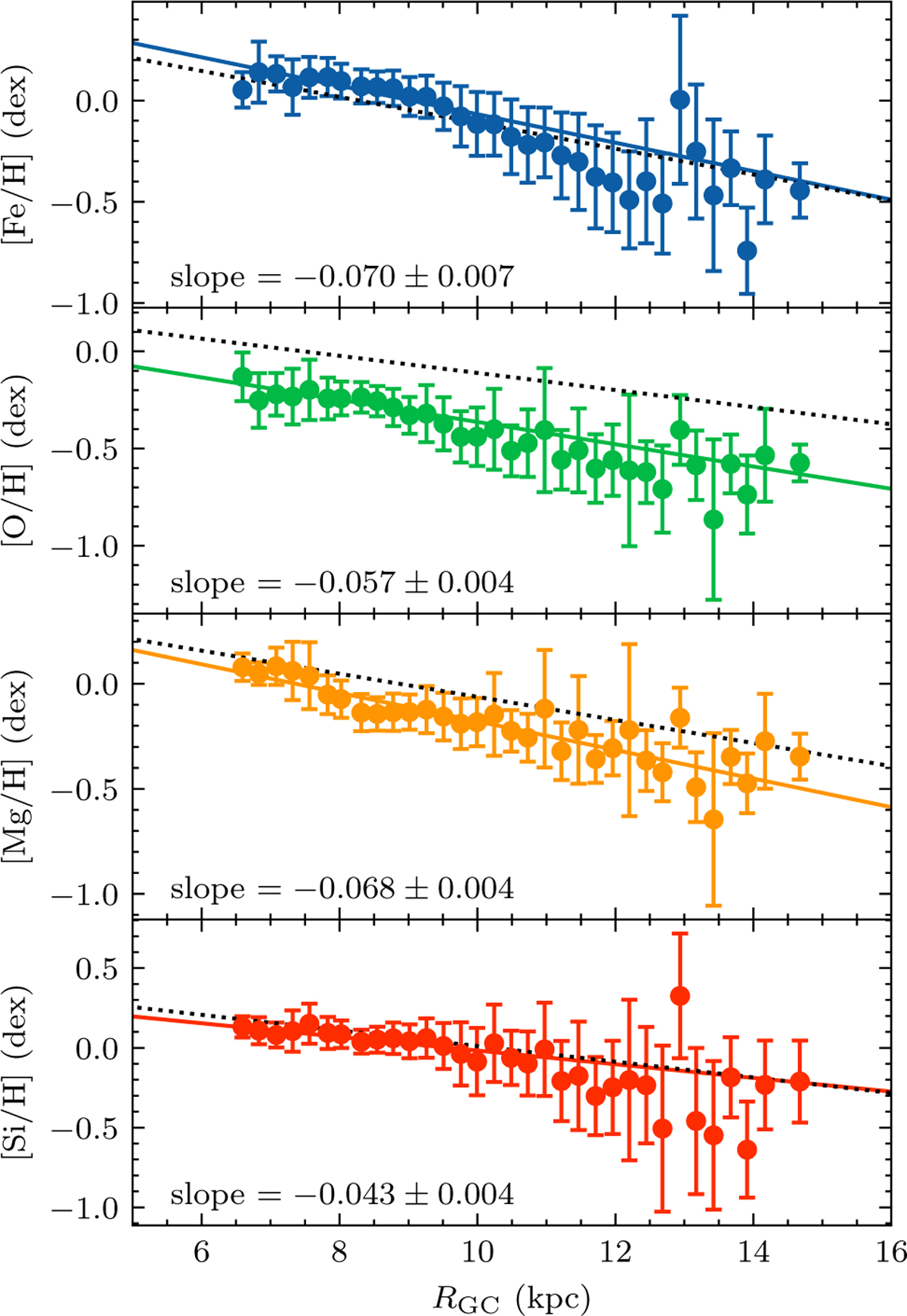
Fig. 14

image

Download original image

Galactic radial gradients for [Fe/H], [O/H], [Mg/H], and [Si/H] (from top to bottom). Stars in the mid-plane (|z| < −0.4 kpc) with S/Nr > 50 are grouped into radial bins. Only bins containing at least 50 stars are shown, with values and uncertainties computed as the weighted mean and standard deviation of the abundances within each bin. The best-fit linear correlation is shown as a solid line, with its slope in the lower-left corner. The dotted line represents literature results for Galactic radial gradients derived from Classical Cepheids (Trentin et al. 2024).

Current usage metrics show cumulative count of Article Views (full-text article views including HTML views, PDF and ePub downloads, according to the available data) and Abstracts Views on Vision4Press platform.

Data correspond to usage on the plateform after 2015. The current usage metrics is available 48-96 hours after online publication and is updated daily on week days.

Initial download of the metrics may take a while.