Open Access

Fig. 3.

image

Download original image

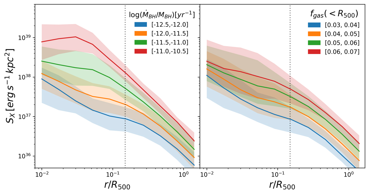
Median surface brightness profiles and 16–84th percentile of the X-ray emission (rest-frame 0.5 − 2.0 keV) of the IGrM in groups in the halo mass bin M500 = 1013 − 1013.5M. The sample is divided into bins of the rescaled accretion rate of the central BH in the host halo (left panel) and hot gas fraction (right panel). We plot a dotted line corresponding to 0.15R500 to separate the central from the external contribution given in Fig. 2.

Current usage metrics show cumulative count of Article Views (full-text article views including HTML views, PDF and ePub downloads, according to the available data) and Abstracts Views on Vision4Press platform.

Data correspond to usage on the plateform after 2015. The current usage metrics is available 48-96 hours after online publication and is updated daily on week days.

Initial download of the metrics may take a while.