Open Access
Erratum
This article is an erratum for:
[https://doi.org/10.1051/0004-6361/202450109]


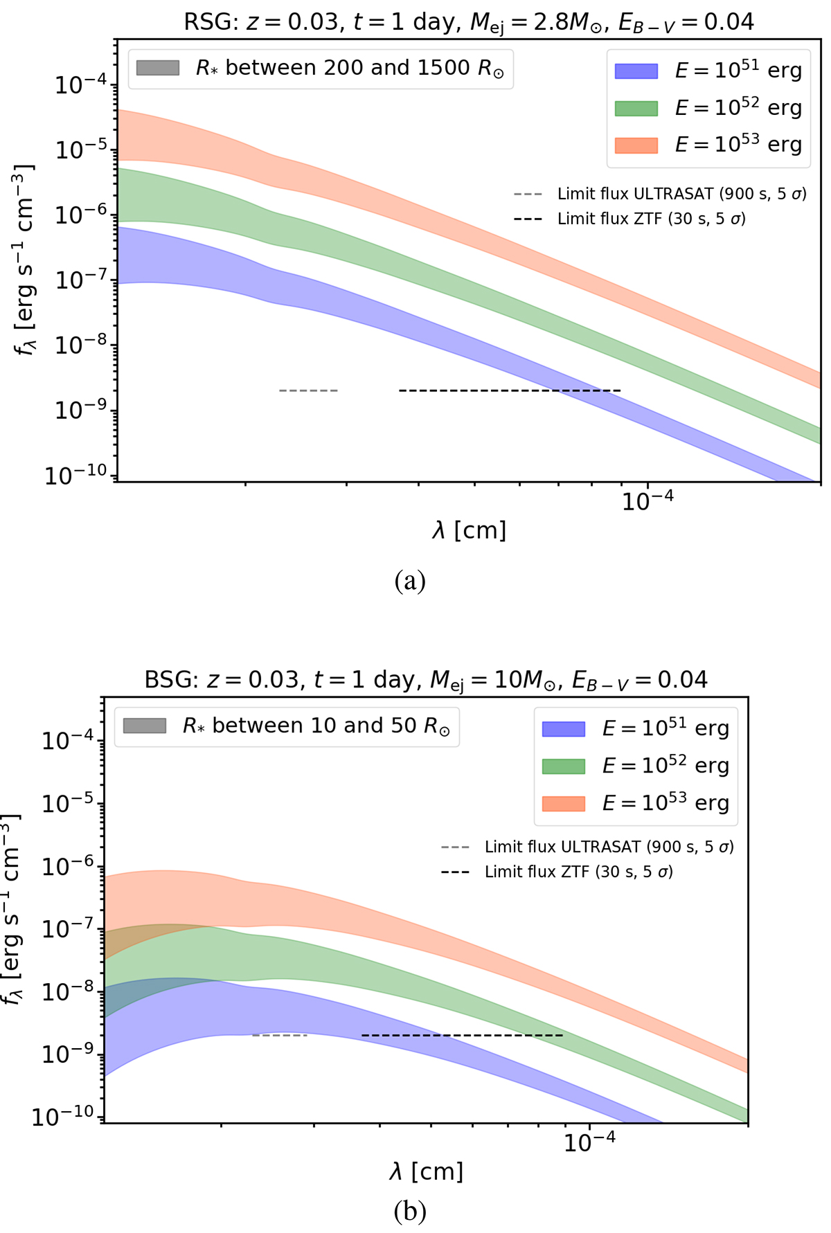
Fig. A.1.

image

Download original image

Model specific intensities, fλ (Eq. 3) observed at Earth from RSGs (a) and BSGs (b) located at z = 0.03 and hosted in a galaxy with extinction value EB − V (median value from Fig. 1). Blue, green, and orange shaded regions show results for explosion energies E = 1051 erg, E = 1052 erg, and E = 1053 erg, respectively. (a) RSG progenitor. The shaded regions reflect the variation in the progenitor radius between 200 and 1500 R with a fixed ejected mass of Mej = 2.8 M (the fiducial parameter). (b) BSG progenitor. The shaded regions reflect the variation in the progenitor radius between 10 and 50 R with a fixed ejected mass of Mej = 10 M (the fiducial parameter). The f λ lim $ f_{\lambda}^{\mathrm{lim}} $ of ULTRASAT and ZTF in their observational wavelength bands, obtained following Eq. (7), are indicated with the horizontal dashed grey and black lines, respectively.

Current usage metrics show cumulative count of Article Views (full-text article views including HTML views, PDF and ePub downloads, according to the available data) and Abstracts Views on Vision4Press platform.

Data correspond to usage on the plateform after 2015. The current usage metrics is available 48-96 hours after online publication and is updated daily on week days.

Initial download of the metrics may take a while.