Open Access

Fig. B.3.

image

Download original image

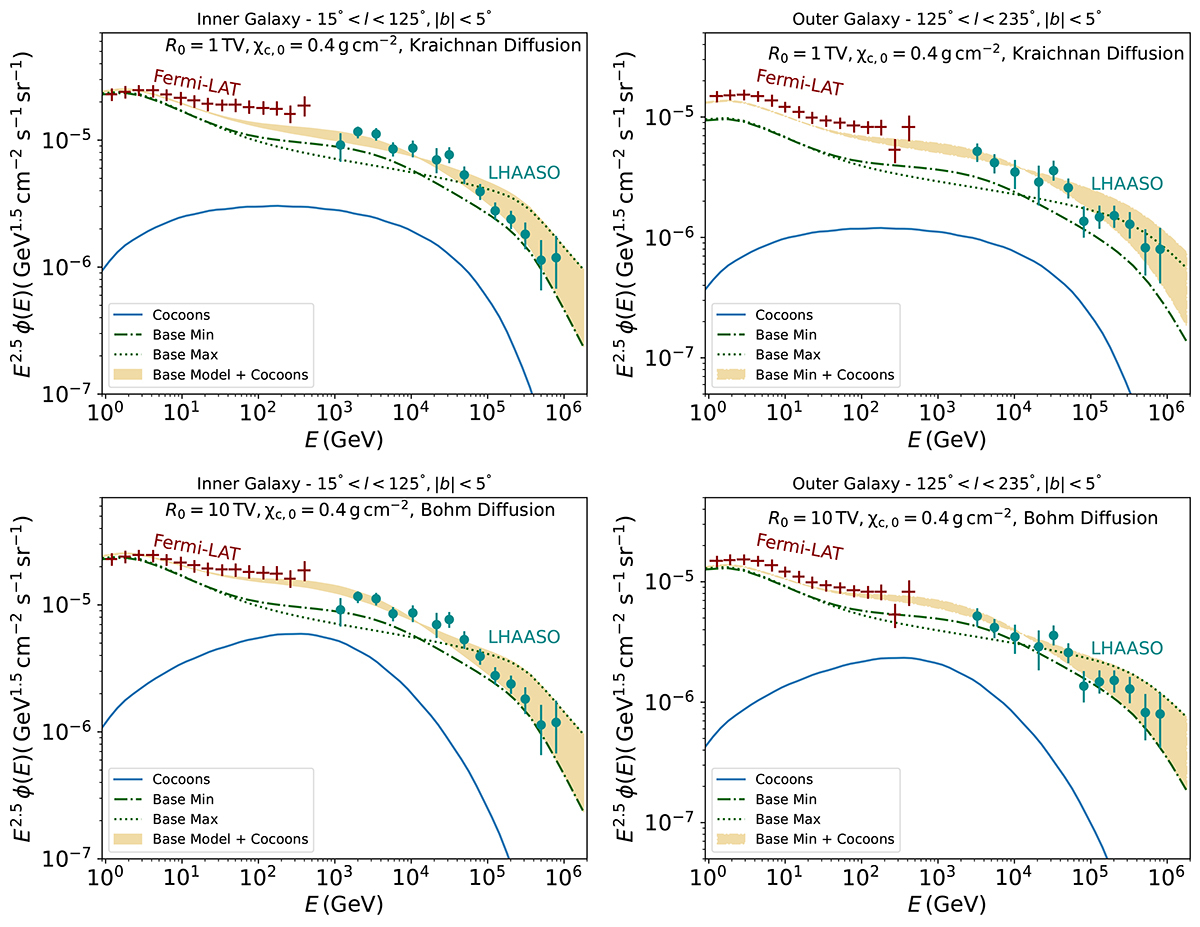
Left panels: Gamma-ray SEDs for the inner Galaxy, showing the total emission (DGE + cocoons, golden band) and the cocoon-only contribution (blue line). The predicted SEDs are rescaled to account for the LHAASO mask in the Galactic disc. Right panels: Same as the left panels, but for the outer Galaxy. In the upper panels, we assume Kraichnan diffusion for the confinement time and R0 = 1 TV), while the lower panels use Bohm diffusion with R0 = 10 TV. The resulting SEDs are compared to Fermi-LAT and LHAASO data from LHAASO Collaboration (2025).

Current usage metrics show cumulative count of Article Views (full-text article views including HTML views, PDF and ePub downloads, according to the available data) and Abstracts Views on Vision4Press platform.

Data correspond to usage on the plateform after 2015. The current usage metrics is available 48-96 hours after online publication and is updated daily on week days.

Initial download of the metrics may take a while.