Open Access

Fig. 3.

image

Download original image

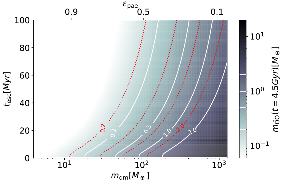
Today’s Oort cloud mass (mÖO, shades) as a function of the planetesimal disk-mass (mdm) and the Sun’s escape time, tesc. Here, mdm is the leftover mass of the debris disk after the giant planets’ cores formed (here, the mass in planets’ cores is mpc). Along the top axis we express mdm in terms of the planet-formation efficiency, ϵpae ≡ mdm/(mdm + mpc). The curves indicate the current mass of the Öpik-Oort cloud (in units of M) for a decay timescale, tdecay = 5000 Myr (white) and tdecay = 10 000 Myr (red). See also the color bar (to the right). Here, we calculated mÖO from the analytic model Eq:FRED presented in Sect:Fred (based on fig:OCGalacticOrbit).

Current usage metrics show cumulative count of Article Views (full-text article views including HTML views, PDF and ePub downloads, according to the available data) and Abstracts Views on Vision4Press platform.

Data correspond to usage on the plateform after 2015. The current usage metrics is available 48-96 hours after online publication and is updated daily on week days.

Initial download of the metrics may take a while.