Open Access

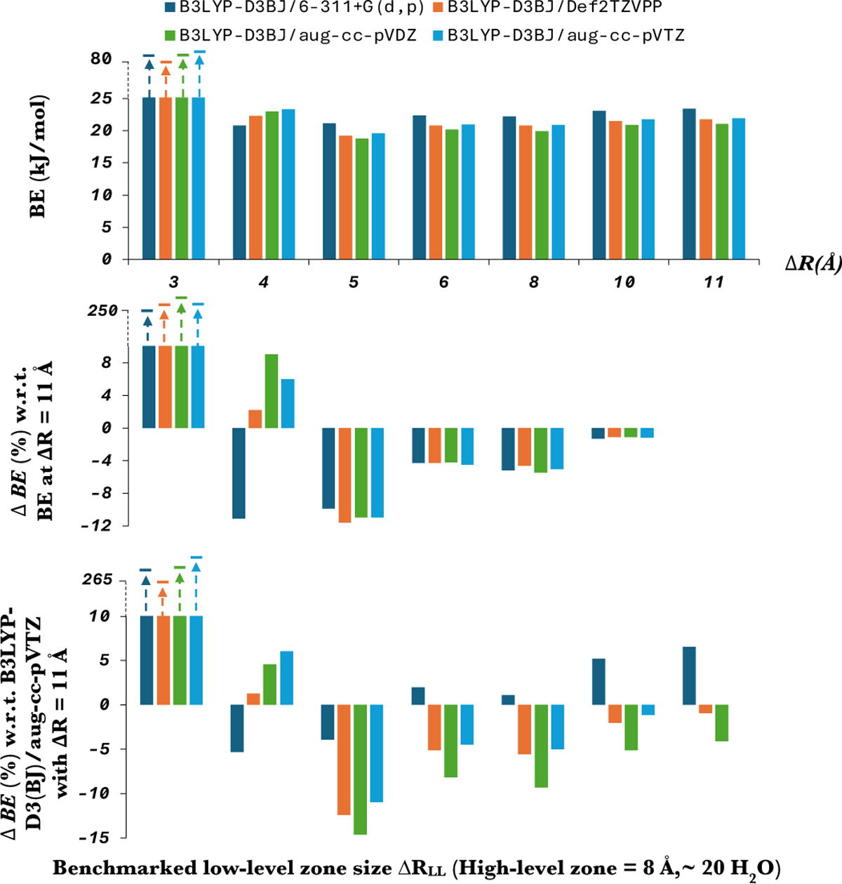
Fig. C.4

image

Download original image

NH3 BEs on a second tested binding site for a growing ΔRLowLevel, going from 3 to 11 Å, for a total radius between 11 and 19 Å. Four different basis set for the high-level treatment are tested, as given in the legend of the plot, within an ONIOM(B3LYP-D3(BJ)/basis set:xtb) framework. See legend Fig. C.1 for the description of each panel.

Current usage metrics show cumulative count of Article Views (full-text article views including HTML views, PDF and ePub downloads, according to the available data) and Abstracts Views on Vision4Press platform.

Data correspond to usage on the plateform after 2015. The current usage metrics is available 48-96 hours after online publication and is updated daily on week days.

Initial download of the metrics may take a while.