Open Access

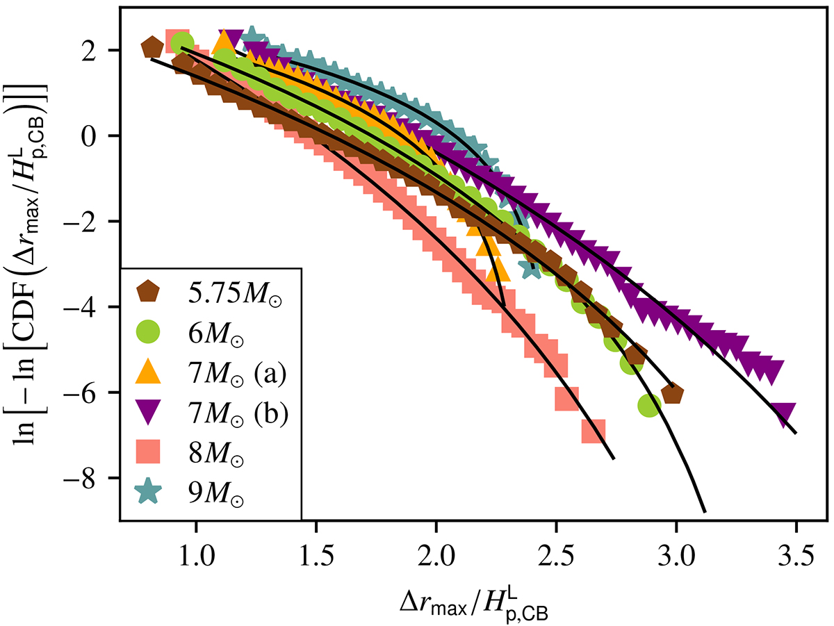
Fig. 10.

image

Download original image

Natural logarithm of the negative natural logarithm of the cumulative distribution functions of maximal overshooting length, Δrmax, for each simulation below the convective shell. Black lines indicate the best fit with the Weibull distribution, defined in Eq. (11).

Current usage metrics show cumulative count of Article Views (full-text article views including HTML views, PDF and ePub downloads, according to the available data) and Abstracts Views on Vision4Press platform.

Data correspond to usage on the plateform after 2015. The current usage metrics is available 48-96 hours after online publication and is updated daily on week days.

Initial download of the metrics may take a while.