Open Access

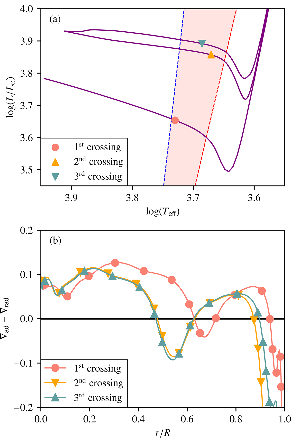
Fig. A.4.

image

Download original image

Cepheids for an 8M star that has metallicity z = 0.020 (also shown in Fig. A.1): (a) the H-R diagram showing that this star crosses the instability strip three times. Symbols denote three stellar models corresponding to the Schwarzschild discriminants in (b).

Current usage metrics show cumulative count of Article Views (full-text article views including HTML views, PDF and ePub downloads, according to the available data) and Abstracts Views on Vision4Press platform.

Data correspond to usage on the plateform after 2015. The current usage metrics is available 48-96 hours after online publication and is updated daily on week days.

Initial download of the metrics may take a while.