Fig. 8.
 
      Download original image
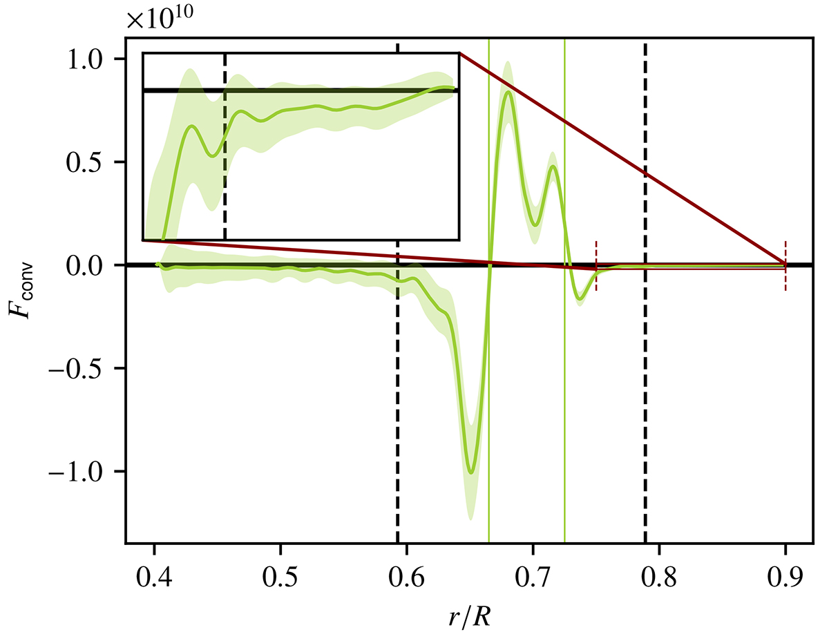
Radial profiles of the convective flux for the 6 M⊙ Cepheid. The shaded area indicates one standard deviation around the mean value. Thin vertical lines indicate the convective boundaries determined by the Schwarzschild criterion. Black dashed lines indicates one pressure scale height above and below the convection zone. The inset shows a zoomed in region centered on the red box.
Current usage metrics show cumulative count of Article Views (full-text article views including HTML views, PDF and ePub downloads, according to the available data) and Abstracts Views on Vision4Press platform.
Data correspond to usage on the plateform after 2015. The current usage metrics is available 48-96 hours after online publication and is updated daily on week days.
Initial download of the metrics may take a while.
