Open Access

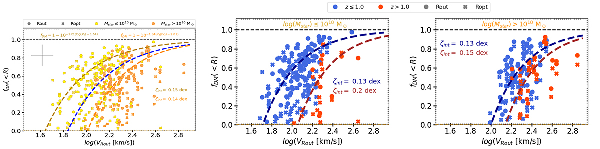
Fig. 15.

image

Download original image

Exploration of the fDM − Vc relation across different stellar masses and redshift intervals. First panel: fDM − Vc relation for the low-stellar mass bin (Mstar ≤ 1010 M) in yellow and the high-stellar mass bin (Mstar > 1010 M) in orange. The best-fit to original fDM − Vc relation is shown blue dashed line given by Equation (6). The Equations corresponds to best fit of low- and high-stellar mass bins is written on the plot, shown by brown and orange dashed lines, respectively. The intrinsic scatter (ζint) associated with fits are printed on plot using same color code. Second-third panel: fDM − Vc relation separated for low- and high-stellar masses, left and right panel respectively. In both panels, low-z (z ≤ 1) and high-z (z > 1) galaxies are shown in blue and red, respectively, and corresponding best-fits are shown by dashed blue and red lines. In all panels, filled crosses and circles represent the measurements taken within Ropt and Rout, respectively, and median error on the data points is indicated by gray crosses. Low surface brightness and low velocity low mass galaxies at high redshift might be missed from the sample. On the other hand, it is clear that DM fractions are lower at fixed rotational velocity at higher redshift, i.e. the plots are not biased on the vertical axis. We note to the reader that these relations are plotted exclusively for objects with fDM > 0 for the clarity on the matter, while the full sample is shown in Figure 13.

Current usage metrics show cumulative count of Article Views (full-text article views including HTML views, PDF and ePub downloads, according to the available data) and Abstracts Views on Vision4Press platform.

Data correspond to usage on the plateform after 2015. The current usage metrics is available 48-96 hours after online publication and is updated daily on week days.

Initial download of the metrics may take a while.