Open Access

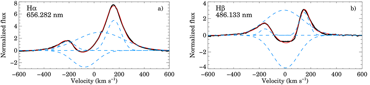
Fig. 11.

image

Download original image

Spectral decomposition. The thick black lines are the observed spectra, the blue dashed curves show the individual components, and the red curve indicates the total fit. Additional panels of this figure with further emission lines are shown in Appendix B.

Current usage metrics show cumulative count of Article Views (full-text article views including HTML views, PDF and ePub downloads, according to the available data) and Abstracts Views on Vision4Press platform.

Data correspond to usage on the plateform after 2015. The current usage metrics is available 48-96 hours after online publication and is updated daily on week days.

Initial download of the metrics may take a while.