Open Access

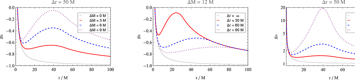
Fig. 6.

image

Download original image

Metric components gtt (first row) and grr (second row) for the dark-matter model with Δr = 50M with varying ΔM (left plot) and for ΔM = 12M with varying Δr (right plot); α=β = 0.

Current usage metrics show cumulative count of Article Views (full-text article views including HTML views, PDF and ePub downloads, according to the available data) and Abstracts Views on Vision4Press platform.

Data correspond to usage on the plateform after 2015. The current usage metrics is available 48-96 hours after online publication and is updated daily on week days.

Initial download of the metrics may take a while.