Open Access

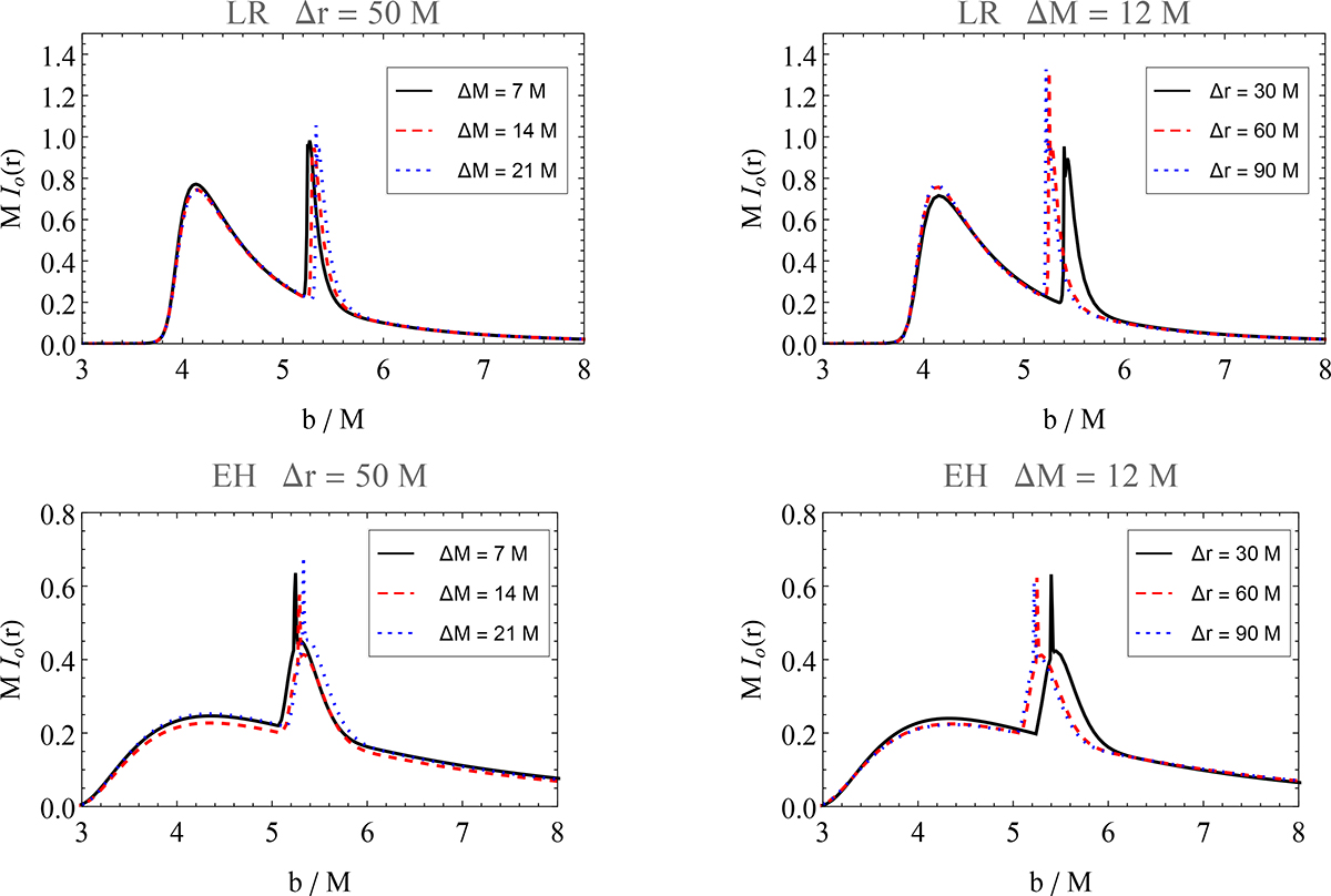
Fig. 7.

image

Download original image

Intensity I(r) as a function of radius, r, for the LR disk model (top row) and for the EH disk model (bottom row), with α=β = 0 for Δr = 50M, with ΔM={7M,14M,21M} (left column), and ΔM = 12M with ΔM={30M,60M,90M} (right column).

Current usage metrics show cumulative count of Article Views (full-text article views including HTML views, PDF and ePub downloads, according to the available data) and Abstracts Views on Vision4Press platform.

Data correspond to usage on the plateform after 2015. The current usage metrics is available 48-96 hours after online publication and is updated daily on week days.

Initial download of the metrics may take a while.