Open Access

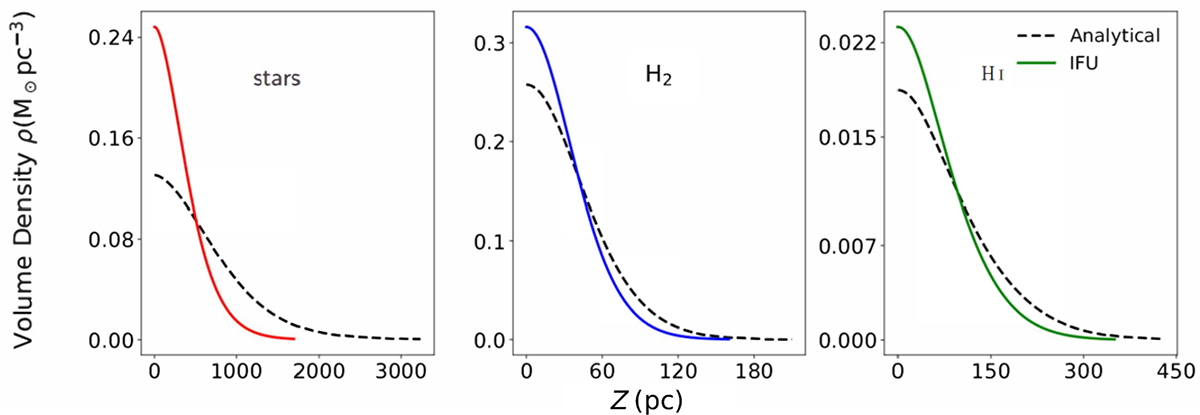
Fig. 8.

image

Download original image

Solutions to the hydrostatic equilibrium equation at a radius of 6 kpc. The left, middle, and right panels present density solutions for stars, molecular, and atomic gas, respectively. The solid lines in each panel represent solutions when the hydrostatic equations were solved with the iterative method using CALIFA IFU data. The dashed lines represent the solutions with the analytically calculated stellar velocity dispersion described by Eq. (9). The choice of stellar velocity dispersion greatly influences the density solutions in all three baryonic disks.

Current usage metrics show cumulative count of Article Views (full-text article views including HTML views, PDF and ePub downloads, according to the available data) and Abstracts Views on Vision4Press platform.

Data correspond to usage on the plateform after 2015. The current usage metrics is available 48-96 hours after online publication and is updated daily on week days.

Initial download of the metrics may take a while.