Open Access

Fig. 9.

image

Download original image

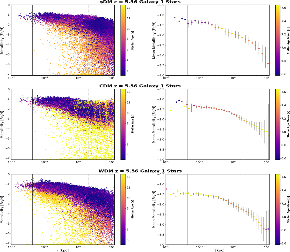
Left panel: 2D correlation between stellar distance from the galactic center and stellar metallicity. It is evident that metal-rich stars tend to be located closer to the galactic center, with a slight offset for ψDM. The data points are color-coded based on their stellar age, providing further insights into the stellar population. Right panel: 2D correlation of stellar spatial distribution vs. mean metallicity. The Spearman correlation is negative, indicating that metal-poor stars are generally older than their metal-rich counterparts. The data points are color-coded based on their mean stellar age, offering a comprehensive view of the age-metallicity relationship. The vertical black line marks the comoving limit, while the dashed line indicates the expected size of an ideal core-halo structure. These visualizations provide valuable insights into the relationships between stellar properties, metallicity, and age in different galactic environments and DM scenarios.

Current usage metrics show cumulative count of Article Views (full-text article views including HTML views, PDF and ePub downloads, according to the available data) and Abstracts Views on Vision4Press platform.

Data correspond to usage on the plateform after 2015. The current usage metrics is available 48-96 hours after online publication and is updated daily on week days.

Initial download of the metrics may take a while.