Open Access

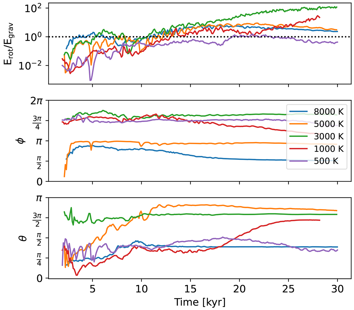
Fig. 10.

image

Download original image

Ratio of the rotational kinetic energy and potential energy of the gas in a region of 0.01 pc around the MMO for each temperature (top panel). The angles ϕ and θ of the total angular momentum are plotted in spherical coordinates (middle and bottom panels).

Current usage metrics show cumulative count of Article Views (full-text article views including HTML views, PDF and ePub downloads, according to the available data) and Abstracts Views on Vision4Press platform.

Data correspond to usage on the plateform after 2015. The current usage metrics is available 48-96 hours after online publication and is updated daily on week days.

Initial download of the metrics may take a while.