Open Access

Fig. H.1

image

Download original image

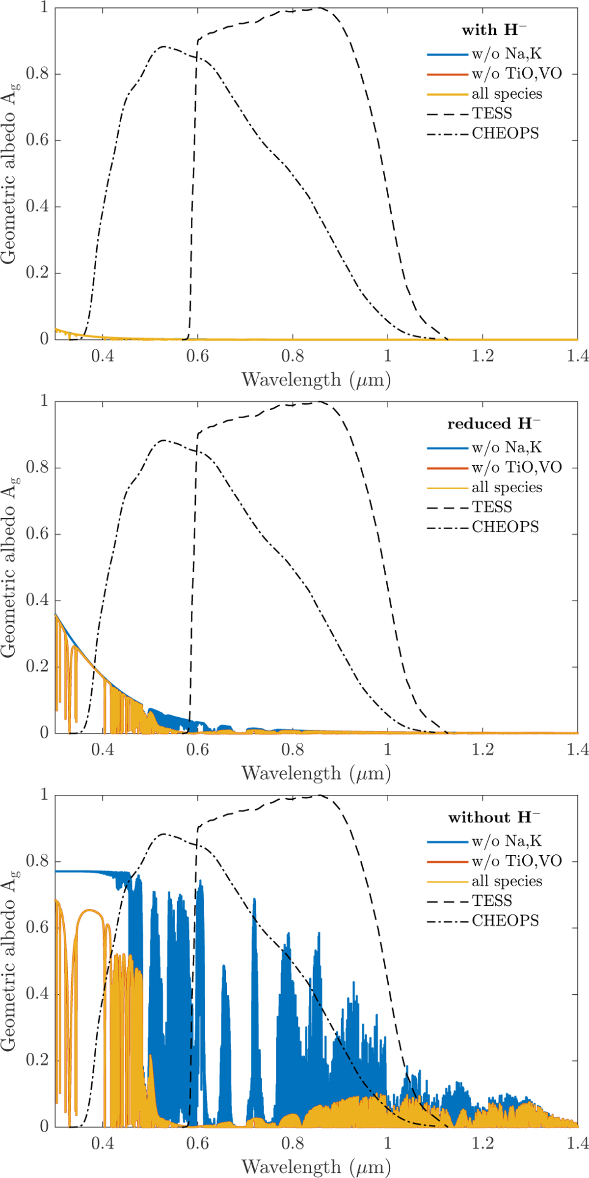
Estimated geometric albedo of WASP-18 b based on the retrieval results in comparison to the passbands of CHEOPS and TESS. The top panel shows the geometric albedo with the H abundance derived by assuming chemical equilibrium and for several species removed as opacity source (note that all curves overlap as H dominates and other opacity sources are negligible). In the middle panel, H abundance is artificially reduced by 98%, for which A g values are comparable to our results in the CHEOPS and TESS passbands (i.e. the red and yellow curves overlap, but the effect of removing Na and K starts to appear around 600 nm). In the lower panel, the H continuum is entirely removed, and the removal of alkali (Na and K) reveals even more strongly the scattering features, while the effect of TiO and VO remains negligible (overlap of red and yellow models). The strong increase of A g towards lower wavelengths is caused by the λ−4-dependence of Rayleigh scattering. In the last case, when Na and K are removed as well, the geometric albedo converges towards its analytical limit of 0.75 for Rayleigh scattering.

Current usage metrics show cumulative count of Article Views (full-text article views including HTML views, PDF and ePub downloads, according to the available data) and Abstracts Views on Vision4Press platform.

Data correspond to usage on the plateform after 2015. The current usage metrics is available 48-96 hours after online publication and is updated daily on week days.

Initial download of the metrics may take a while.