Open Access

Fig. 15.

image

Download original image

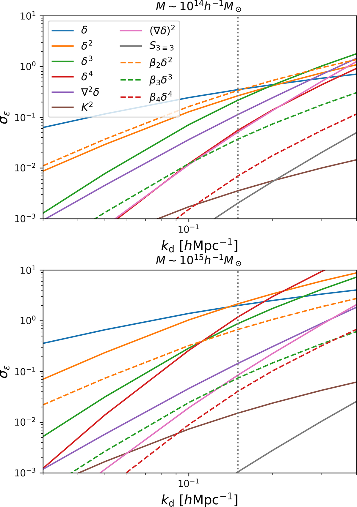
Quantitative contribution of different bias terms to the bias expansion as a function of damping scale and for two different sets of tracers. To avoid cluttering, we omit the bias fore-factors of some terms in the legend. The vertical dotted line indicates an example scale of interest kd = 0.15 h Mpc−1. The dashed lines show the contributions of cumulant biases at orders of 3 and 4, which can directly be compared to the contributions of b3 and b4 (labelled as δ3 and δ4).

Current usage metrics show cumulative count of Article Views (full-text article views including HTML views, PDF and ePub downloads, according to the available data) and Abstracts Views on Vision4Press platform.

Data correspond to usage on the plateform after 2015. The current usage metrics is available 48-96 hours after online publication and is updated daily on week days.

Initial download of the metrics may take a while.