Open Access

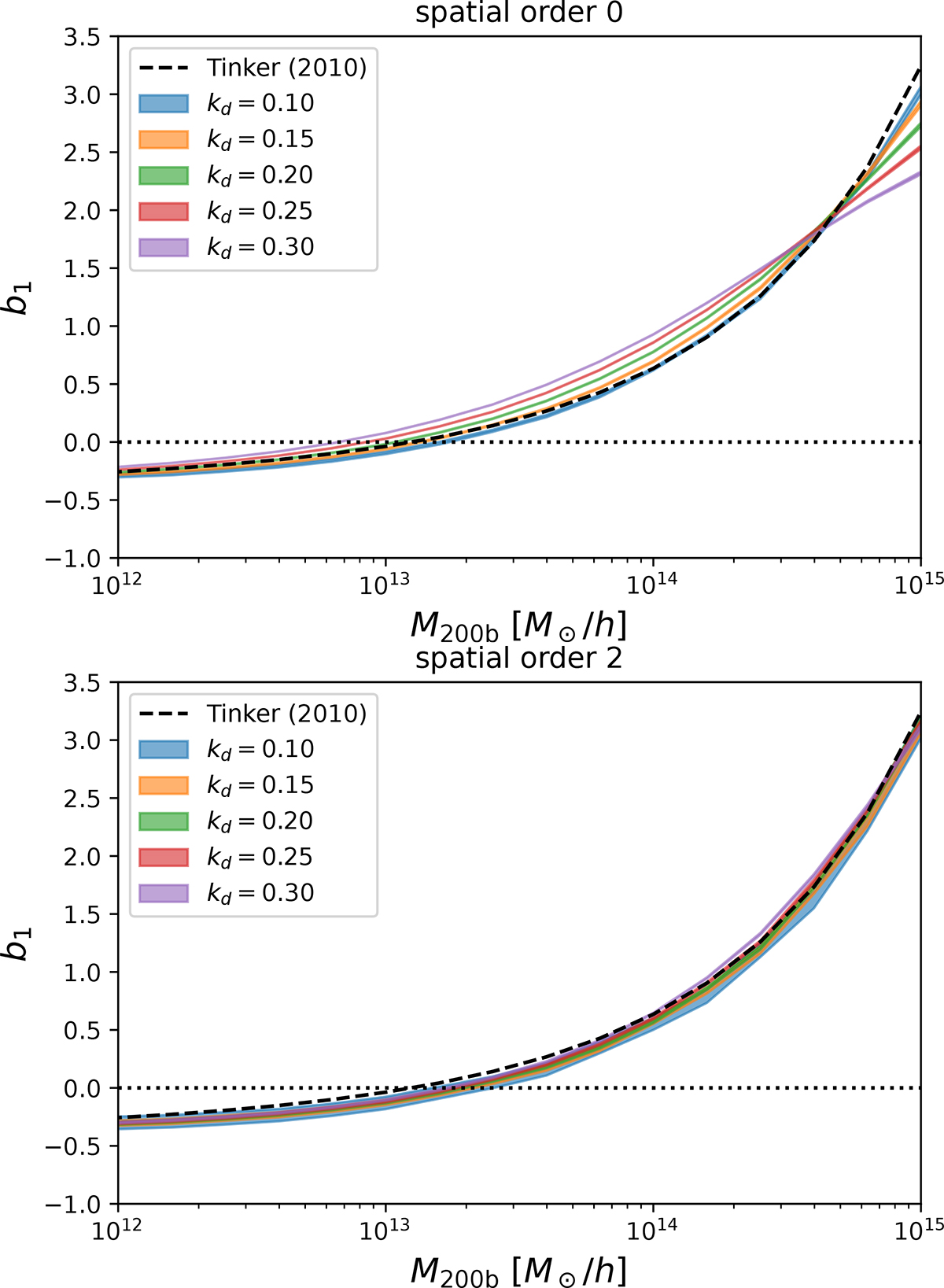
Fig. 2.

image

Download original image

b1 as a function of halo mass using the estimators from Equation (15) at the top and Equation (49) at the bottom, measured at different damping scales (different coloured regions). The shaded regions indicate the 1σ certainty region of the estimators. Using the b1 estimator that includes the Laplacian correction increases the uncertainty of the b1 estimates, but reduces the dependence on the damping scale, leading to a good agreement across different scales.

Current usage metrics show cumulative count of Article Views (full-text article views including HTML views, PDF and ePub downloads, according to the available data) and Abstracts Views on Vision4Press platform.

Data correspond to usage on the plateform after 2015. The current usage metrics is available 48-96 hours after online publication and is updated daily on week days.

Initial download of the metrics may take a while.