Open Access

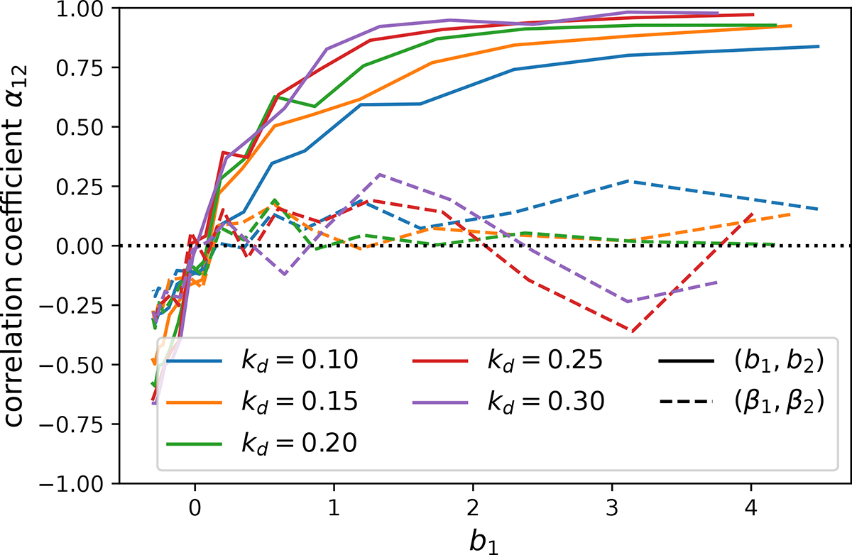
Fig. 6.

image

Download original image

Correlation coefficient α12 between the b1 and b2 measurement (solid) and the β1 and β2 measurement (dashed). Note: β2 as a parameter is much more independent of the value of b1 than b2.

Current usage metrics show cumulative count of Article Views (full-text article views including HTML views, PDF and ePub downloads, according to the available data) and Abstracts Views on Vision4Press platform.

Data correspond to usage on the plateform after 2015. The current usage metrics is available 48-96 hours after online publication and is updated daily on week days.

Initial download of the metrics may take a while.