Open Access

Fig. 3.

image

Download original image

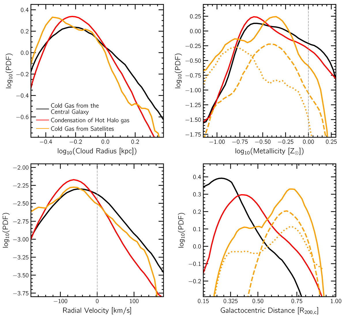
PDFs of properties of z = 0 CGM clouds split based on their origin channel. Curves corresponding to those arising as from the central galaxy (within the last ∼2 Gyr) are colored in black, condensates of the hot halo gas in red and those ejected from satellites in orange, as shown by the legend in the top-left panel. Distributions of cloud radius, metallicity, radial velocity and galactocentric distance are shown in the top-left, top-right, lower-left and lower-right panels, respectively. In the right panels, we show individual distributions of the S98 and S105 halos (see Table 2 of Ramesh & Nelson 2024 for more details) through dotted and dashed curves, respectively (vertically offset for better visibility). Distributions are broad for all four properties shown here, with PDFs of clouds ejected from satellites typically different as compared to the other two cases.

Current usage metrics show cumulative count of Article Views (full-text article views including HTML views, PDF and ePub downloads, according to the available data) and Abstracts Views on Vision4Press platform.

Data correspond to usage on the plateform after 2015. The current usage metrics is available 48-96 hours after online publication and is updated daily on week days.

Initial download of the metrics may take a while.