Open Access

Fig. 6.

image

Download original image

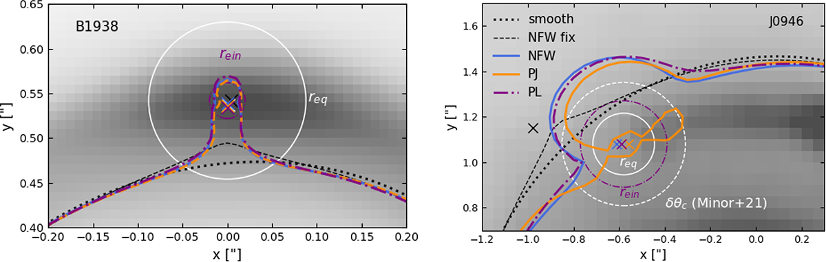
Zoom on the location of the two detections to highlight the differences in the critical lines and subhalo position between the considered models (lines and crosses of the corresponding colour). The circles marks (i) the radius, Req, at which the PJ and NFW profiles produce the same enclosed mass (solid white), (ii) the Einstein radius, Rein, calculated with Equation (3) for the PL profile (purple), (iii) the size corresponding to the robust mass defined for J0946+1006 by Minor et al. (2021, dashed white). In the case of B1938+666, the perturber is very compact, and the three best models have very similar critical lines. In J0946+1006, the larger subhalo mass translates into larger visible differences among the models.

Current usage metrics show cumulative count of Article Views (full-text article views including HTML views, PDF and ePub downloads, according to the available data) and Abstracts Views on Vision4Press platform.

Data correspond to usage on the plateform after 2015. The current usage metrics is available 48-96 hours after online publication and is updated daily on week days.

Initial download of the metrics may take a while.