Press Release
Open Access

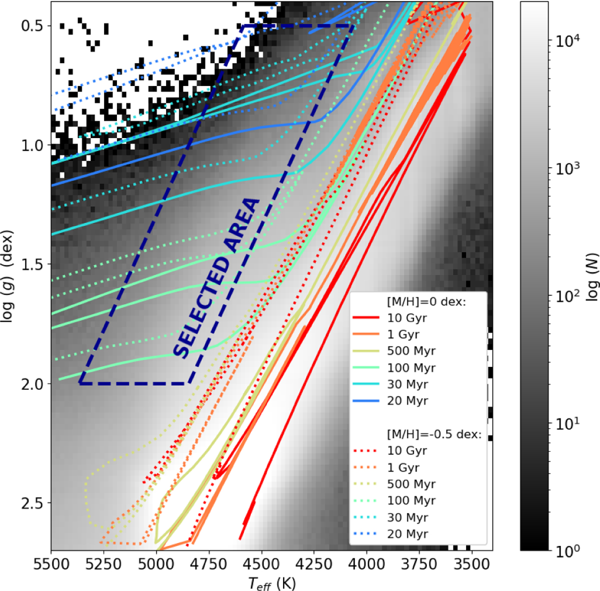
Fig. 1

image

Download original image

Comparison between the distribution of XGBoost stars (Andrae et al. 2023) in the Kiel diagram and the PARSEC isochrones for different metallicities. The portion of the Kiel diagram selected in this work is shown by a dark blue dashed line.

Current usage metrics show cumulative count of Article Views (full-text article views including HTML views, PDF and ePub downloads, according to the available data) and Abstracts Views on Vision4Press platform.

Data correspond to usage on the plateform after 2015. The current usage metrics is available 48-96 hours after online publication and is updated daily on week days.

Initial download of the metrics may take a while.