Open Access

Fig. 1

image

Download original image

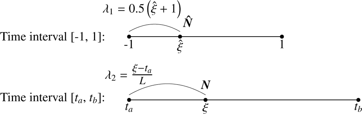
Illustration of the length coordinates for the time intervals [−1, 1] and [ta, tb]. Although the horizontal coordinates of ξ^$\[\hat{\xi}\]$ and ξ are not equal and their length coordinates λ1 and λ2 are equal, the values of the corresponding interpolation functions are equal (Eq. (12)).

Current usage metrics show cumulative count of Article Views (full-text article views including HTML views, PDF and ePub downloads, according to the available data) and Abstracts Views on Vision4Press platform.

Data correspond to usage on the plateform after 2015. The current usage metrics is available 48-96 hours after online publication and is updated daily on week days.

Initial download of the metrics may take a while.