Open Access

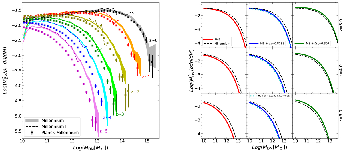
Fig. 1.

image

Download original image

Left: Dark matter HMF for the different simulations considered in this paper. The shaded regions show the measurements based on the MS (1σ Poissonian scatter); the dashed lines correspond to the MSII simulation; and the squares with errorbars are for the PMS simulation (1σ Poissonian scatter). Right: Impact of different cosmological parameters on the evolution of the HMF. The left-most panels show the HMFs expected for the MS and PMS cosmological models (dashed black and solid red lines, respectively). In the central and right-most panels, the HMFs for the MS are compared with runs with theoretical expectations obtained modifying the following parameters: σ8 (assumed to be the same as in the PMS; blue solid line); σ8 and the spectral index (as in the PMS; cyan dotted line); Ωm (as in the PMS; green solid line).

Current usage metrics show cumulative count of Article Views (full-text article views including HTML views, PDF and ePub downloads, according to the available data) and Abstracts Views on Vision4Press platform.

Data correspond to usage on the plateform after 2015. The current usage metrics is available 48-96 hours after online publication and is updated daily on week days.

Initial download of the metrics may take a while.