Open Access

Fig. A.2.

image

Download original image

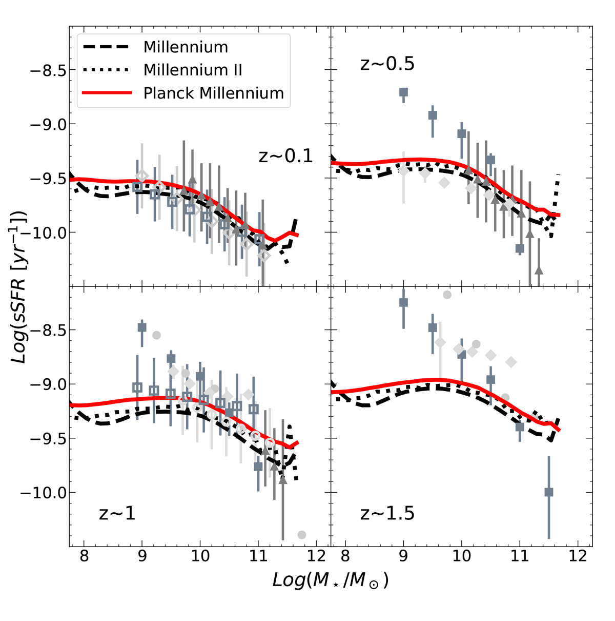
Redshift evolution of the main sequence of star-forming galaxies. The line types and colours are as in Fig. A.1; the data points correspond to the compilations used in Fontanot et al. (2009, filled symbols, see complete reference list for their Fig. 5) and in Xie et al. (2017, empty symbols, see complete reference list for their Fig. 11).

Current usage metrics show cumulative count of Article Views (full-text article views including HTML views, PDF and ePub downloads, according to the available data) and Abstracts Views on Vision4Press platform.

Data correspond to usage on the plateform after 2015. The current usage metrics is available 48-96 hours after online publication and is updated daily on week days.

Initial download of the metrics may take a while.