Open Access

Fig. 6.

image

Download original image

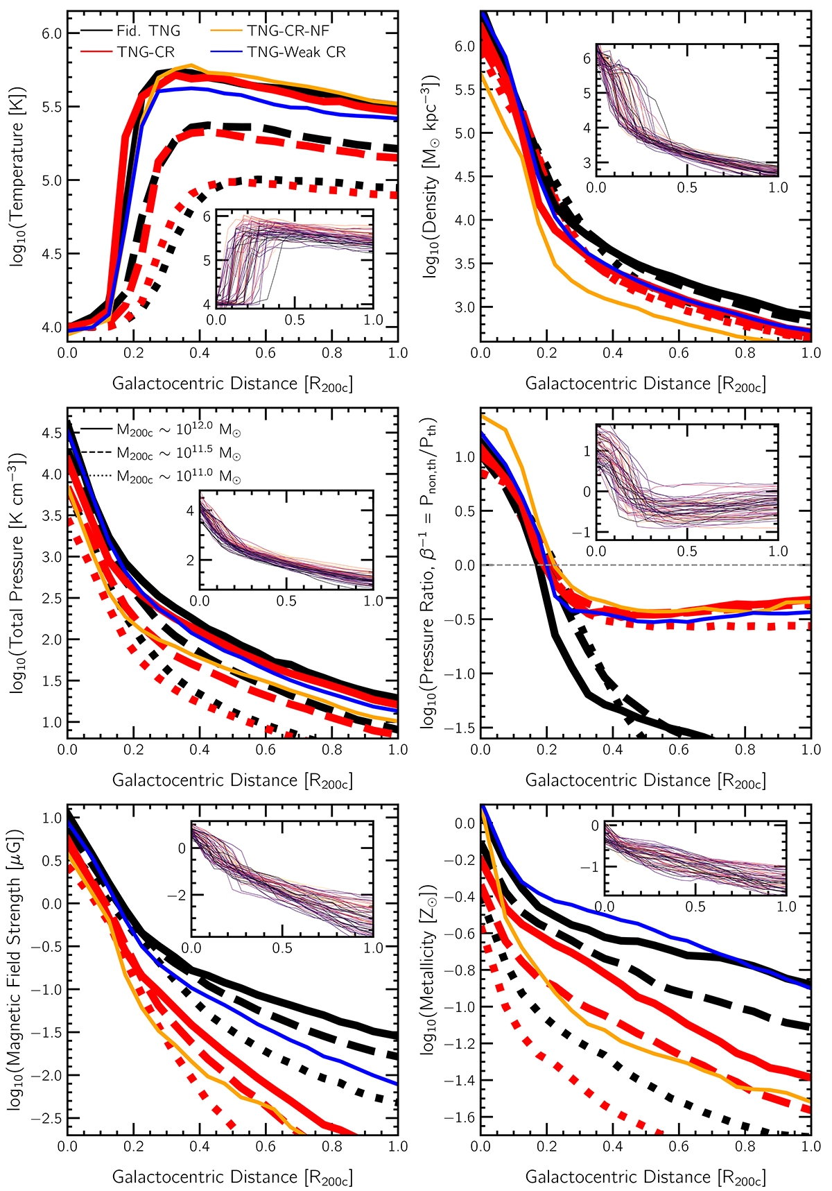
Spherically averaged stacked radial profiles of six gas properties. Clockwise from the top left, we show: temperature, density, nonthermal to thermal pressure ratio, metallicity, magnetic field strength, and total pressure. Colors contrast TNG-CR (red) versus the fiducial TNG run (black), while the line styles correspond to different halo mass bins. For the 1012 M mass bin in each panel, we also show profiles from the CRs but no feedback run (TNG-CR-NF; orange) and TNG-Weak CR (blue). The inclusion of CRs impacts most properties: halo gas is less magnetized and metal enriched in the TNG-CR and TNG-CR-NF runs. Profiles in TNG-Weak CR are always closer to those of fiducial TNG. Most notably, the nonthermal pressure support of CGM gas (≳0.2 R200c) is relatively larger in the CR cases as compared to the TNG run, although profiles in the galaxy (≲0.2 R200c) are largely similar across the various runs. Insets in all panels show individual profiles of Milky Way-mass halos in TNG-CR, with curves colored by halo mass (see text).

Current usage metrics show cumulative count of Article Views (full-text article views including HTML views, PDF and ePub downloads, according to the available data) and Abstracts Views on Vision4Press platform.

Data correspond to usage on the plateform after 2015. The current usage metrics is available 48-96 hours after online publication and is updated daily on week days.

Initial download of the metrics may take a while.