Open Access

Fig. 8.

image

Download original image

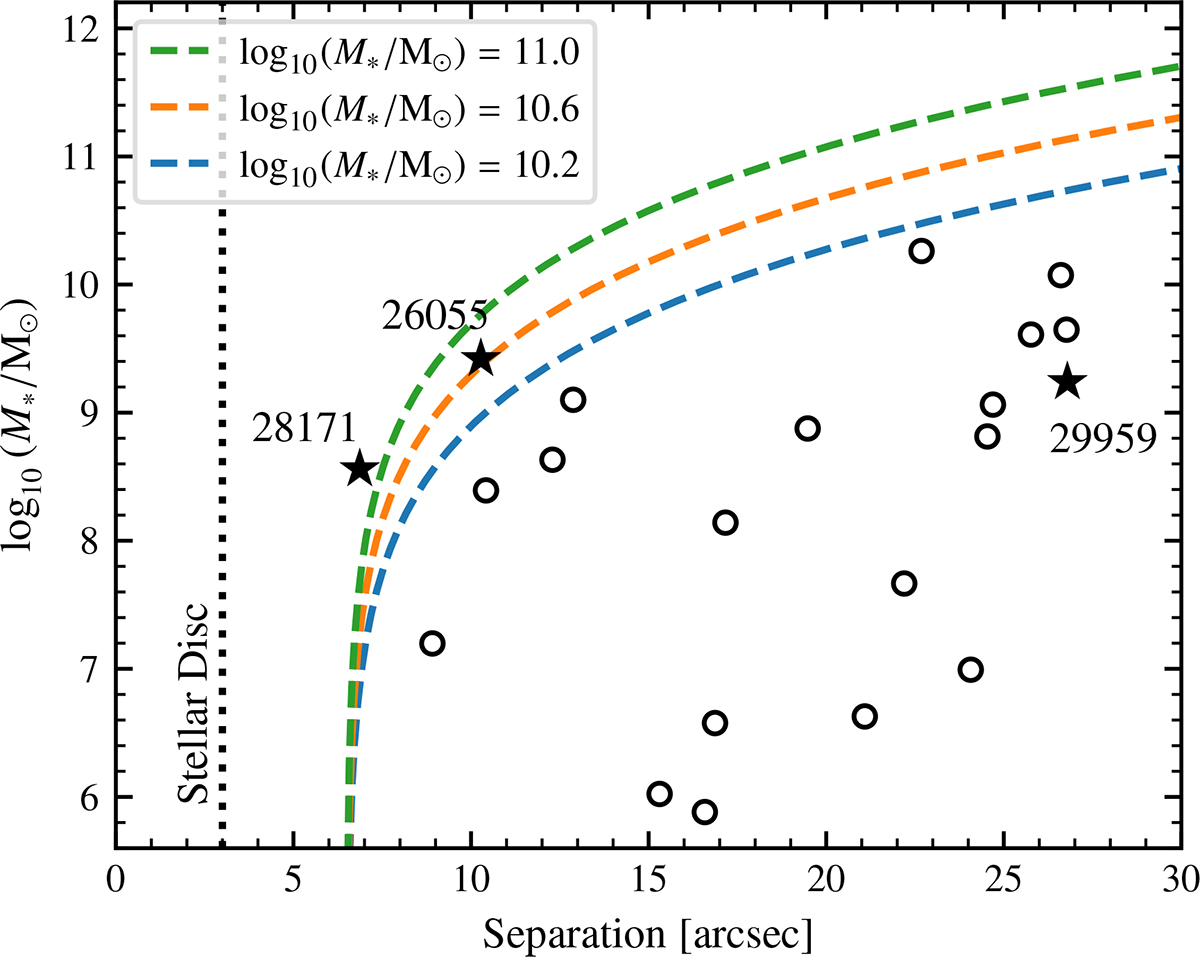
Potential interaction candidates for F0083, displayed in the projected distance-stellar mass plane as open circles. The approximate extent of the stellar disc is shown as a dotted black line, whilst we display the selection criterion for tidal interactions (atid/agal = 0.15, see Eq. (3)) as a series of dashed lines, covering a range of possible masses of F0083. The stars denote the objects under further study, with only two objects, 28171 and 26055, satisfying the interaction criterion.

Current usage metrics show cumulative count of Article Views (full-text article views including HTML views, PDF and ePub downloads, according to the available data) and Abstracts Views on Vision4Press platform.

Data correspond to usage on the plateform after 2015. The current usage metrics is available 48-96 hours after online publication and is updated daily on week days.

Initial download of the metrics may take a while.