Open Access

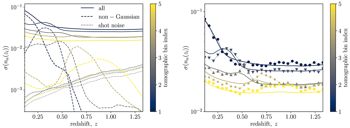
Fig. 10.

image

Download original image

Left: contribution to the standard deviation of the clustering redshift measurements. The solid lines correspond to the total variance, the dashed lines to the non-Gaussian contribution, and the dotted lines to the shot noise. For all tests, we ignored the SSC term since it is suppressed for galaxy clustering. Right: comparison of the analytical standard deviation (solid lines) with the simulations (symbols).

Current usage metrics show cumulative count of Article Views (full-text article views including HTML views, PDF and ePub downloads, according to the available data) and Abstracts Views on Vision4Press platform.

Data correspond to usage on the plateform after 2015. The current usage metrics is available 48-96 hours after online publication and is updated daily on week days.

Initial download of the metrics may take a while.