Open Access

Fig. 9

image

Download original image

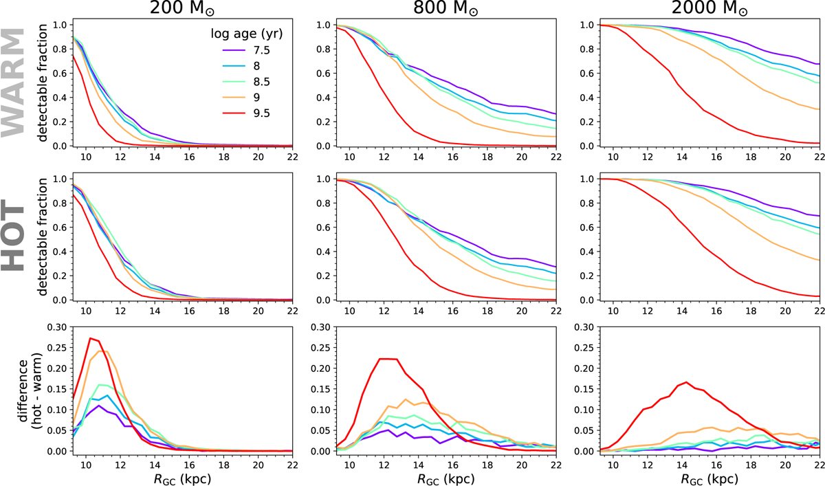
Top: fraction of detectable clusters as a function of Galactocentric radius at three different masses and five different ages, for the simulated kinematically warm cluster population (see text). Middle: same as above, for the kinematically hot cluster population. Bottom: difference between hot and warm detectability fractions.

Current usage metrics show cumulative count of Article Views (full-text article views including HTML views, PDF and ePub downloads, according to the available data) and Abstracts Views on Vision4Press platform.

Data correspond to usage on the plateform after 2015. The current usage metrics is available 48-96 hours after online publication and is updated daily on week days.

Initial download of the metrics may take a while.