Open Access

Fig. 3

image

Download original image

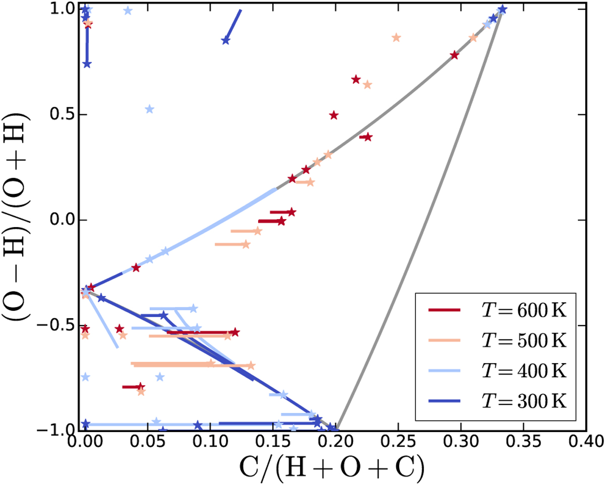
All atmospheres calculated in the parameter space. Some atmospheric compositions change with height due to condensation, leading to tracks. The surface level for each atmospheric track is marked with a star, surface temperature is indicated with colour.

Current usage metrics show cumulative count of Article Views (full-text article views including HTML views, PDF and ePub downloads, according to the available data) and Abstracts Views on Vision4Press platform.

Data correspond to usage on the plateform after 2015. The current usage metrics is available 48-96 hours after online publication and is updated daily on week days.

Initial download of the metrics may take a while.