Open Access

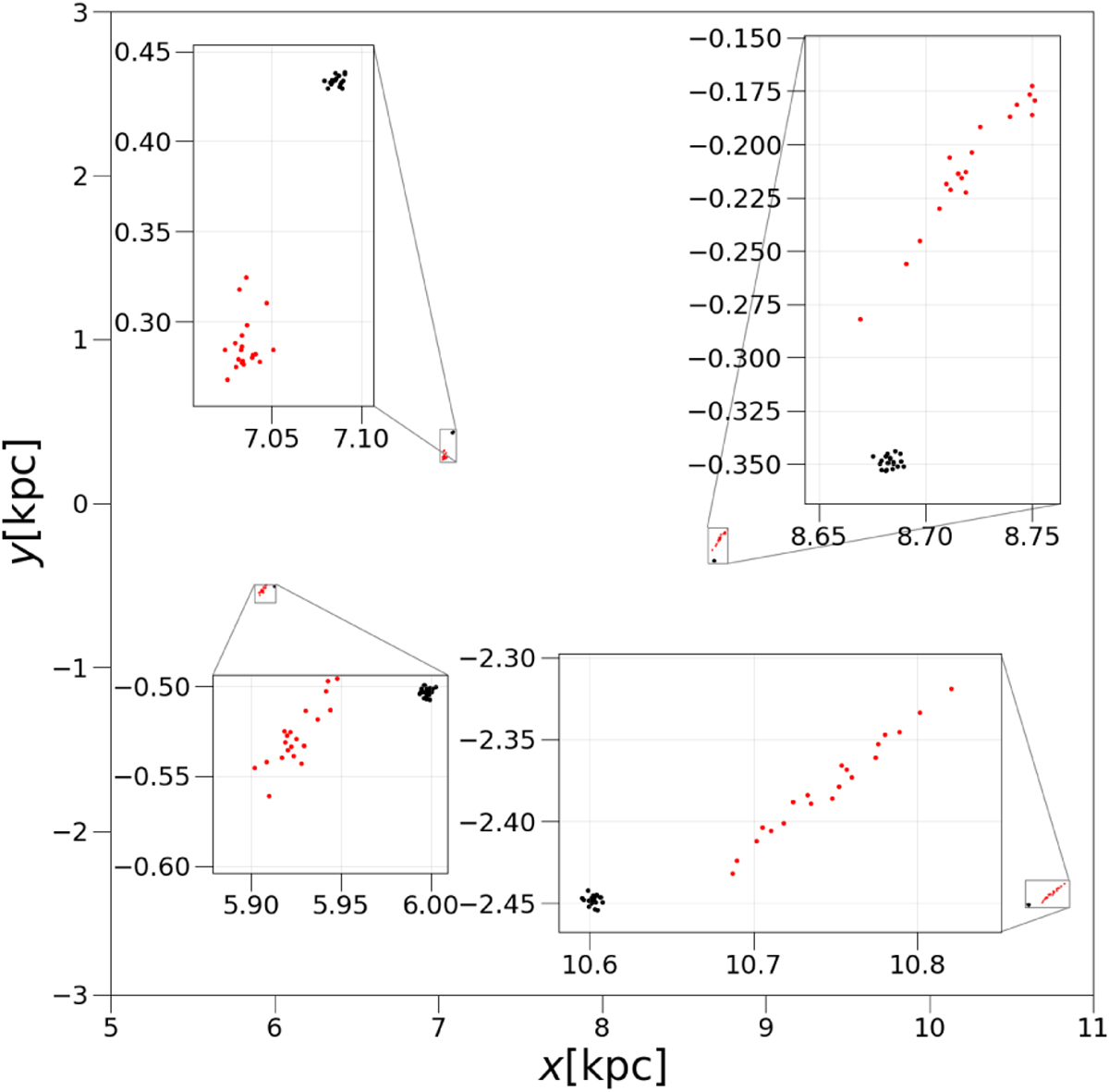
Fig. 12

image

Download original image

Implications of the non-axisymmetries for the orbits of young associations, illustrated by integrating four young associations for 50 Myr forward in the fiducial potential and then backward in time with both the erroneous axisymmetric model (red) and the fiducial one (black). The insets show zoom-ins around the regions of the associations.

Current usage metrics show cumulative count of Article Views (full-text article views including HTML views, PDF and ePub downloads, according to the available data) and Abstracts Views on Vision4Press platform.

Data correspond to usage on the plateform after 2015. The current usage metrics is available 48-96 hours after online publication and is updated daily on week days.

Initial download of the metrics may take a while.