Open Access

Fig. A.4.

image

Download original image

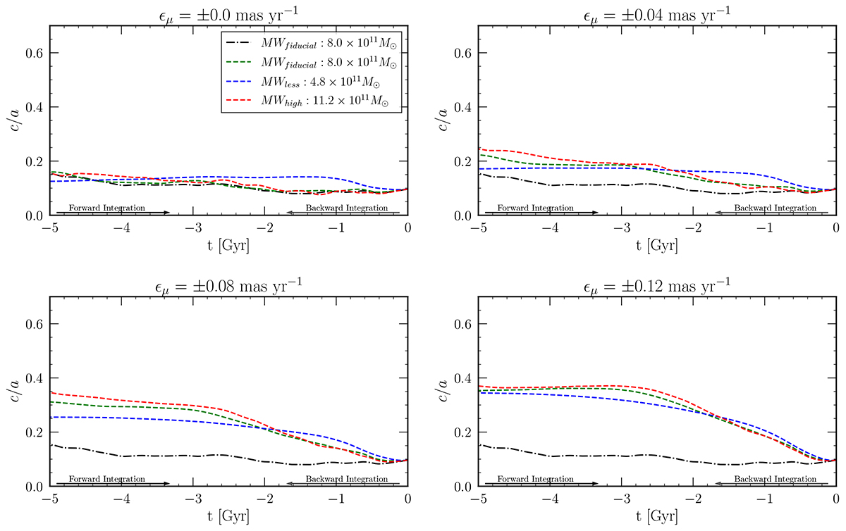
Analogous to Fig 7, results for θtan= 60°: Evolution of the plane of satellite galaxies with proper motion uncertainties included in each panel. The black dashed-dotted curves represent the mean axis ratio for forward integration, while the colored dashed curves indicate the mean axis ratio for backward integration under different potential models characterized by halo mass. Specifically, the blue, green, and red dashed curves correspond to the c/a values under the MWlow, MWfiducial, and MWhigh potential models, respectively. Note that in these results we account 5% of distance uncertainties.

Current usage metrics show cumulative count of Article Views (full-text article views including HTML views, PDF and ePub downloads, according to the available data) and Abstracts Views on Vision4Press platform.

Data correspond to usage on the plateform after 2015. The current usage metrics is available 48-96 hours after online publication and is updated daily on week days.

Initial download of the metrics may take a while.