Open Access

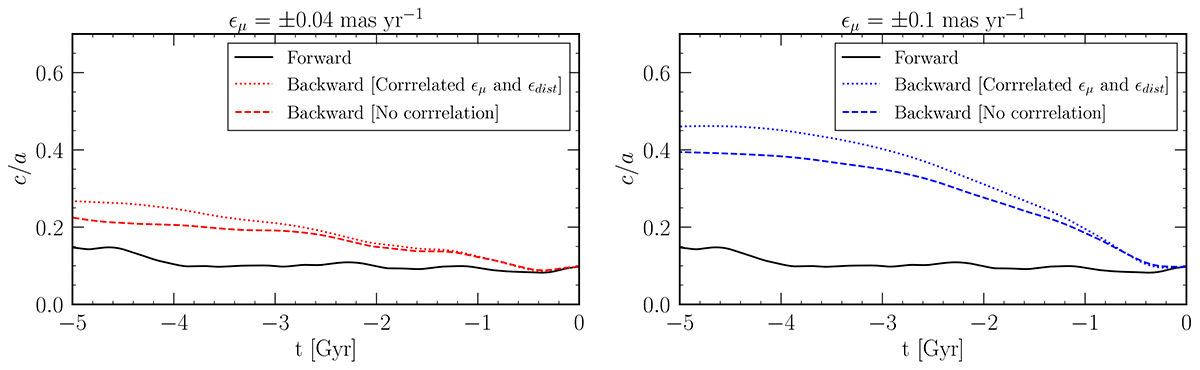
Fig. B.1.

image

Download original image

Comparison of correlated and uncorrelated PM-distance errors on satellite plane evolution. Two cases are shown with PM errors of 0.04 and 0.1 mas yr−1, both with a 10% distance error. Correlated errors lead to a slightly increased plane widening.

Current usage metrics show cumulative count of Article Views (full-text article views including HTML views, PDF and ePub downloads, according to the available data) and Abstracts Views on Vision4Press platform.

Data correspond to usage on the plateform after 2015. The current usage metrics is available 48-96 hours after online publication and is updated daily on week days.

Initial download of the metrics may take a while.