Open Access

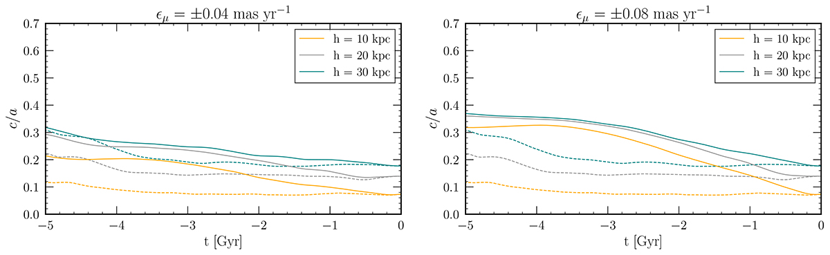
Fig. 4.

image

Download original image

Effect of proper motion uncertainties on satellite galaxies under different initial vertical distributions of h = 10, h = 20 kpc, and h = 30 kpc. The left panel shows proper motion uncertainties of 0.04 mas yr−1, while the right panel displays uncertainties of 0.08 mas yr−1. Dashed curves indicate forward integrations and solid curves represent backward integrations.

Current usage metrics show cumulative count of Article Views (full-text article views including HTML views, PDF and ePub downloads, according to the available data) and Abstracts Views on Vision4Press platform.

Data correspond to usage on the plateform after 2015. The current usage metrics is available 48-96 hours after online publication and is updated daily on week days.

Initial download of the metrics may take a while.