Open Access

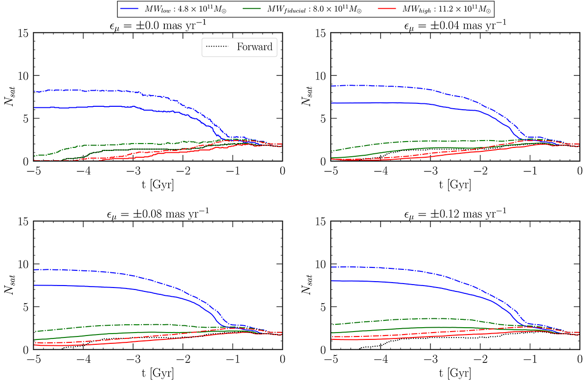
Fig. 9.

image

Download original image

Average number of test satellite exceeding a radial distance of 300 kpc under varying proper motion uncertainties. The four panels correspond to different level of proper motion uncertainty. Each panel displays six curves, representing the number of test satellites beyond 300 kpc of distance under three different potential models. Dash-dotted curves show results with distance uncertainties included, while solid curves reflect only proper motion errors.

Current usage metrics show cumulative count of Article Views (full-text article views including HTML views, PDF and ePub downloads, according to the available data) and Abstracts Views on Vision4Press platform.

Data correspond to usage on the plateform after 2015. The current usage metrics is available 48-96 hours after online publication and is updated daily on week days.

Initial download of the metrics may take a while.