Open Access

Fig. 4

image

Download original image

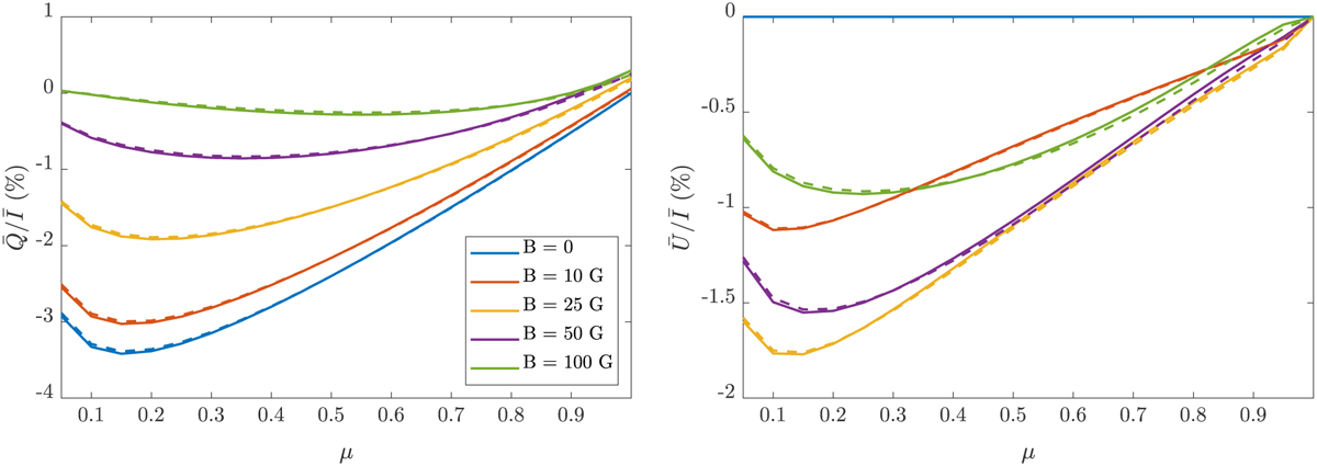
Centre-to-limb variation of Q¯/I¯$\bar Q/\bar I$ (left panel) and Ū/Ī (right panel) as a function of µ = cos(θ). The results are obtained for χ = 0 and considering height-independent horizontal (θB = π/2 and χB = 0) magnetic fields of different strengths (see the legend). Dashed and solid lines correspond to PRD–AA and PRD–AD calculations, respectively.

Current usage metrics show cumulative count of Article Views (full-text article views including HTML views, PDF and ePub downloads, according to the available data) and Abstracts Views on Vision4Press platform.

Data correspond to usage on the plateform after 2015. The current usage metrics is available 48-96 hours after online publication and is updated daily on week days.

Initial download of the metrics may take a while.