Open Access

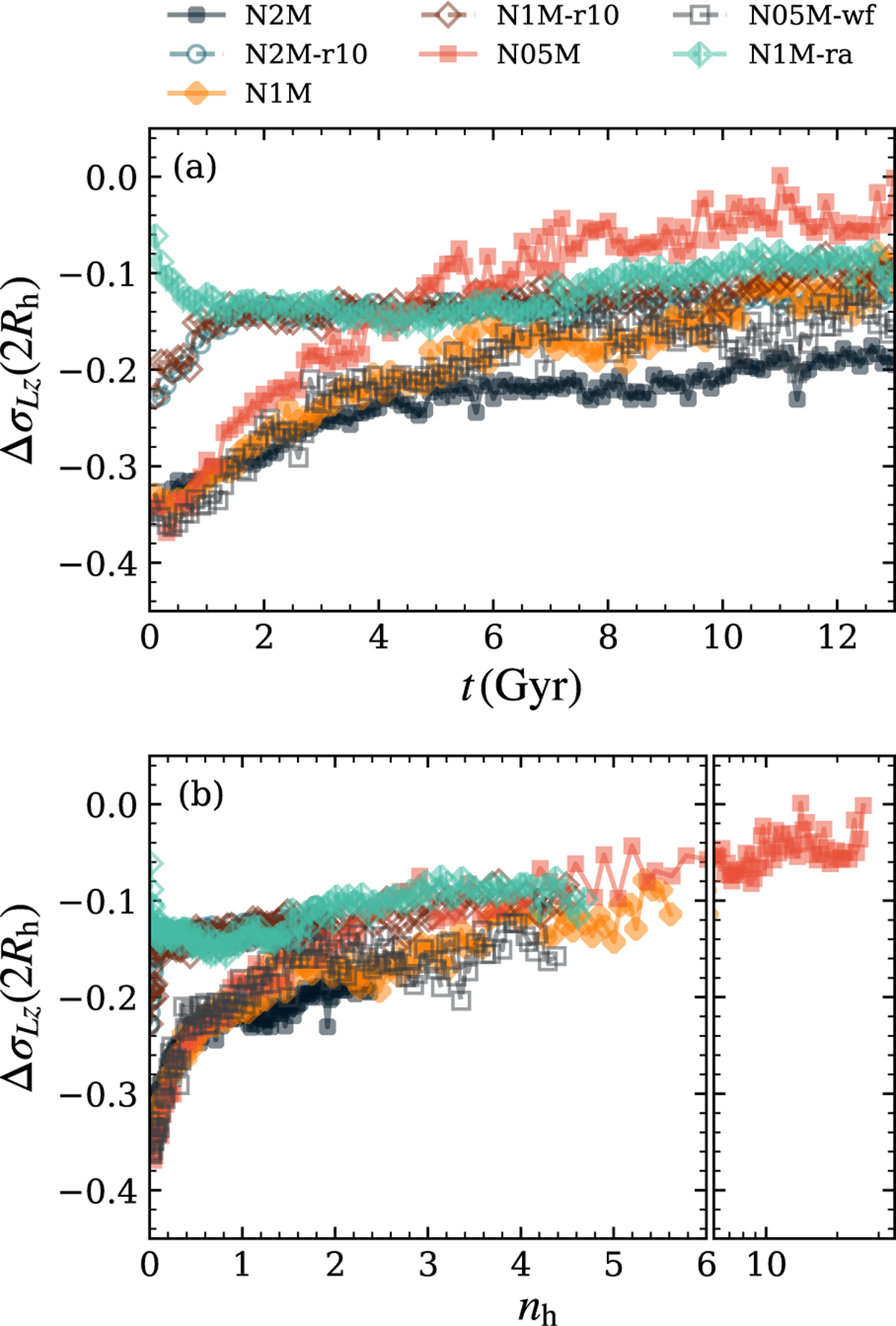
Fig. 11

image

Download original image

Evolution of the projected angular momentum difference at 2Rh for all models in our sample as described in panel c of Fig. 10. In panel a, this is with respect to the physical time of the simulation, and in panel b this is with respect to their dynamical age. Once we consider the dynamical age, all models converge into the same evolutionary path, independently of their initial conditions.

Current usage metrics show cumulative count of Article Views (full-text article views including HTML views, PDF and ePub downloads, according to the available data) and Abstracts Views on Vision4Press platform.

Data correspond to usage on the plateform after 2015. The current usage metrics is available 48-96 hours after online publication and is updated daily on week days.

Initial download of the metrics may take a while.