Open Access

Fig. 4

image

Download original image

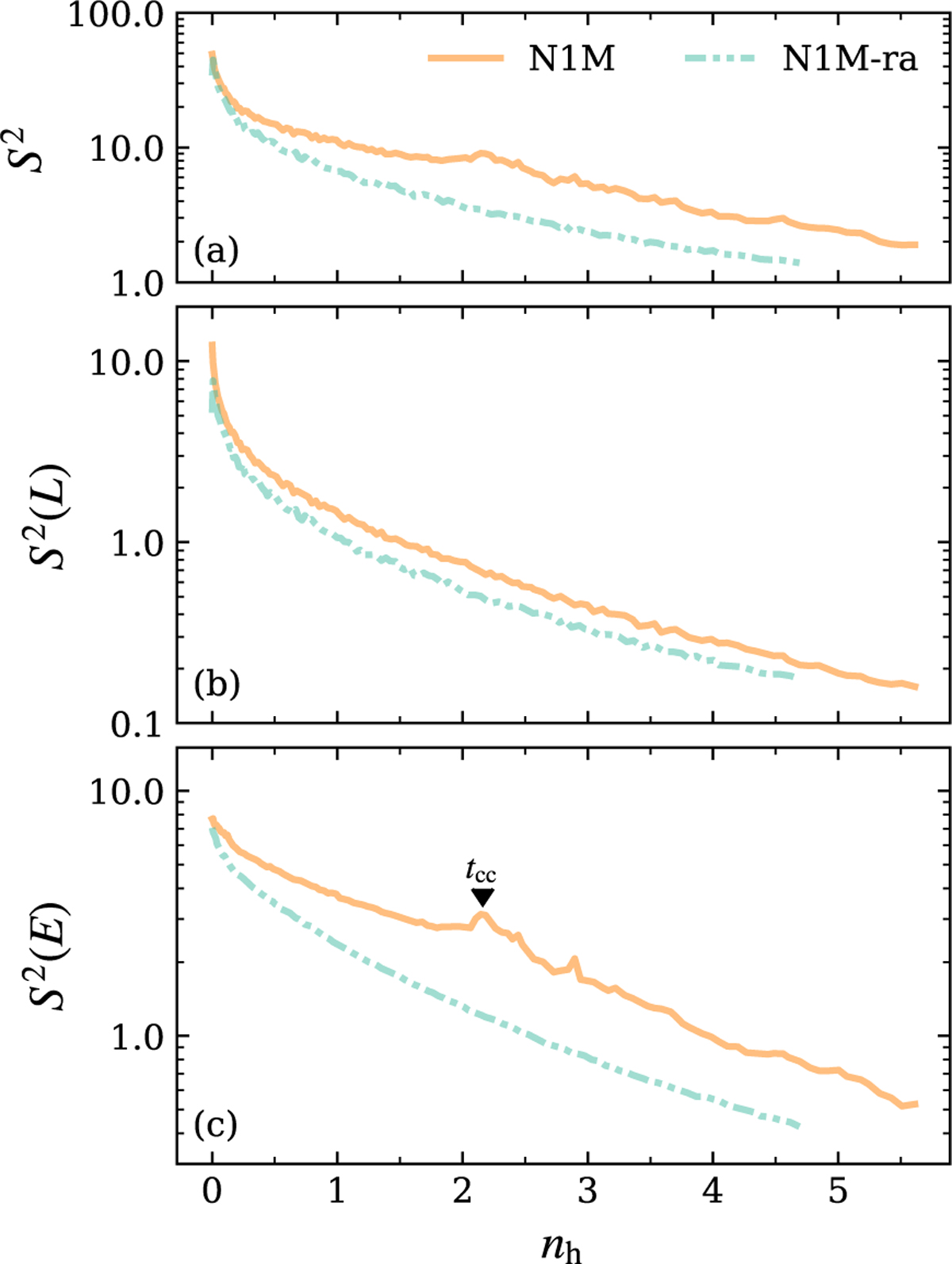
Evolution of the S2 parameter (a), as well as S2 measured over the angular momentum (S2(L), panel b) and energy (S2(E), panel c) spaces for the N1M and N1M-ra models. Primordial radial anisotropy increases the population mixing rate while keeping the cluster dynamically younger. The model N1M-ra does not undergo core collapse within its 13 Gyr of evolution.

Current usage metrics show cumulative count of Article Views (full-text article views including HTML views, PDF and ePub downloads, according to the available data) and Abstracts Views on Vision4Press platform.

Data correspond to usage on the plateform after 2015. The current usage metrics is available 48-96 hours after online publication and is updated daily on week days.

Initial download of the metrics may take a while.