Open Access

Fig. 9

image

Download original image

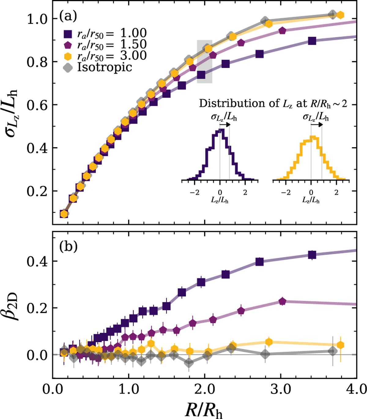
Projected angular momentum dispersion σLz profiles for King models with different velocity anisotropy profiles (panel a) and their respective velocity anisotropy profiles (panel b). As the King models become more radially anisotropic (smaller values of ra/rh), the projected angular momentum dispersion decreases. The insets on panel a show the distribution of the projected angular momentum at r ~ 2Rh for the models with the most and the least radial anisotropy. The grey area in panel a shows the range of radial distances of stars used to calculate the histograms in the panel. We normalised σLz by the half-mass angular momentum Lh, corresponding to the angular momentum of a circular orbit of an equivalent point-mass potential (see Sect. 3).

Current usage metrics show cumulative count of Article Views (full-text article views including HTML views, PDF and ePub downloads, according to the available data) and Abstracts Views on Vision4Press platform.

Data correspond to usage on the plateform after 2015. The current usage metrics is available 48-96 hours after online publication and is updated daily on week days.

Initial download of the metrics may take a while.