Open Access

Fig. 2

image

Download original image

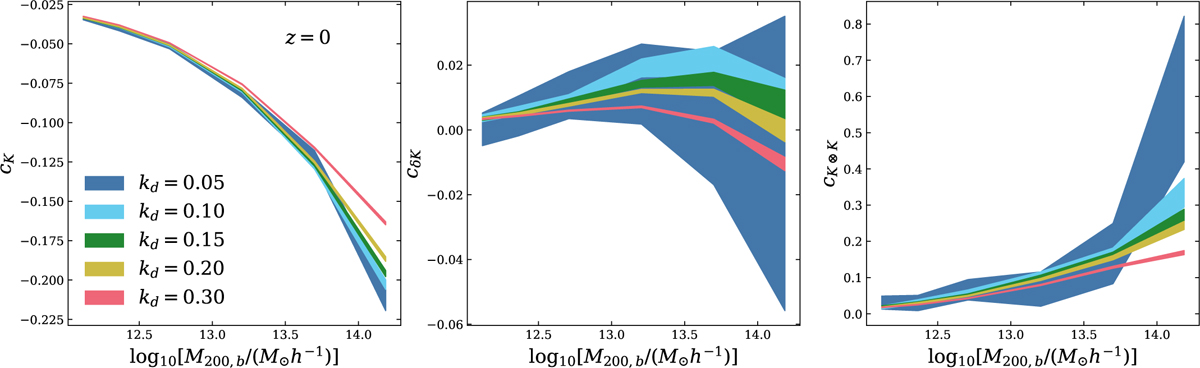
Halo bias parameters as a function of mass in the Planck simulation. Different colors indicate the damping scale (kd), measured in [hMpc−1], used to smooth the Lagrangian fields employed in the measurement of the bias parameters, and the colored regions indicate the 1σ interval around the mean value. Values presented here were measured for halos at z = 0, and the measurements at higher redshifts are even less dependent on kd, so any conclusion on the convergence of the estimators obtained here are also valid at other times.

Current usage metrics show cumulative count of Article Views (full-text article views including HTML views, PDF and ePub downloads, according to the available data) and Abstracts Views on Vision4Press platform.

Data correspond to usage on the plateform after 2015. The current usage metrics is available 48-96 hours after online publication and is updated daily on week days.

Initial download of the metrics may take a while.