Open Access

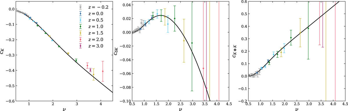
Fig. 4

image

Download original image

Measurements of shape bias parameters in the Planck simulation as a function of peak-significance ν = δc/σ(M, z). All measurements, regardless of redshift, seem to follow a common trend with ν. Solid black lines show the fits performed to approximate these common relations. These fitting functions are exceptionally simple – linear for cK and cKK and quadratic for cδK – and provide good descriptions of the measured relations.

Current usage metrics show cumulative count of Article Views (full-text article views including HTML views, PDF and ePub downloads, according to the available data) and Abstracts Views on Vision4Press platform.

Data correspond to usage on the plateform after 2015. The current usage metrics is available 48-96 hours after online publication and is updated daily on week days.

Initial download of the metrics may take a while.